GENERAL PROVISIONS
(a)
For the purposes of these regulations, unincorporated Banks County is hereby divided into eight zoning districts as follows:
(1)
CAD, Consolidated Agricultural District-Intensive;
(2)
ARR, Agricultural Rural Residential District;
(3)
R-1, Single Family Residential District;
(4)
R-2, Residential Multifamily District;
(5)
C-1, Neighborhood Commercial District;
(6)
C-2, General Commercial District;
(7)
C-3, Warehouse and Distribution District;
(8)
M-1, Industrial District.
(b)
All references to the former CAD, Commercial Agricultural District shall be immediately replaced by CAD, Consolidated Agricultural District-Intensive.
(Ord. No. 2005-02, § 1, 1-11-2005; Ord. No. 2022-01, § 1, 1-11-2022)
The location and boundaries of the above listed districts are hereby established as shown on a map entitled "Official Zoning Map of Unincorporated Banks County, Georgia." Said map, together with any explanatory matter thereon, is hereby adopted by reference and declared to be a part of these regulations.
(Ord. No. 2006-10, § 1, 5-9-2006; Ord. No. 2022-01, § 2, 1-11-2022)
403.1 Where boundaries are indicated as approximately following the centerline of streets or highways, street right-of-way lines or railroad right-of-way lines or such lines extended, such centerline, street right-of-way lines, or railroad right-of-way lines shall be construed to be such boundaries.
403.2 Where boundaries are indicated as approximately following the corporate limit line of a city or county, such corporate limit line shall be construed to be such boundaries.
403.3 Where boundaries are indicated as approximately following property lines or such lines extended, such property lines or such lines extended, as indicated by boundary survey, deed or legal description maintained in the official file of said zoning adoption or amendment, if available, shall be construed to be such boundaries.
403.4 Where boundaries are indicated as approximately following the centerline of stream beds or river beds, such centerline shall be construed to be such boundaries.
403.5 In the case where the exact location of a boundary cannot be determined by the foregoing methods, the governing body shall, upon application, determine the location of the boundary.
404.1 Subject to the provisions of section 404.2 through 404.5 hereof, the use of any building, structure or land which was actually in existence at the time of enactment of these regulations or any amendment hereto which may prohibit, restrict or regulate such use, which use was at that time, in full compliance with all applicable federal, state and local laws, rules and regulations, and for which use all required federal, state or local permits or authorizations were then, and continue to be, in existence, may be continued even though the use of such building, structure, or land does not conform with the provisions of these regulations or any amendment hereto which may prohibit, restrict or regulate such use, unless specifically provided otherwise in these regulations.
404.2 A nonconforming use may not be changed to another use without compliance with these regulations.
404.3 A nonconforming use may not be expanded, extended or enlarged or have its value increased or enhanced, but may be repaired or rebuilt if wholly or partially damaged or destroyed by fire or other casualties beyond the control of the property owner or other person engaged in the use.
404.4 A non-conforming use may not be reestablished after discontinuance for three years or more.
404.5 Nothing herein shall prevent the strengthening or restoration to a safe condition of any part of any building which is part of a nonconforming use which has been declared by any public authority having jurisdiction thereof to be unsafe.
404.6 Notwithstanding the provisions of subsections 404.1 through 404.5, the replacement of a mobile/manufactured home that is a nonconforming use shall not be a violation of section 404, if the replacement mobile/manufactured home complies with the Banks County Mobile/Manufactured Home Ordinance and if the existing mobile/manufactured home is removed from the property.
404.7 Notwithstanding paragraph 404.4, if there are two or more buildings or structures on the land and if one or more of the buildings or structures do not conform to the provisions of these regulations or any amendment hereto, and if the same business activity has been continued, not abandoned for three years or more, in at least one of the buildings or structures on the land, and if the other building(s) or structure(s) on the land has not been used for three or more years, then, in such event, all of the buildings or structures on the land may be reestablished as nonconforming uses under these regulations and used for the same business use for which they were previously being used.
(Res. No. 2000-25, § 1, 10-18-2000; Ord. No. 2002-10, §§ 1, 2, 6-11-2002)
Except as otherwise specifically provided in these regulations, no building, structure, development, land, open space or water shall hereafter be used or occupied; no building, structure or development or part thereof shall hereafter be erected, constructed, reconstructed, moved, structurally altered or maintained, and no new use or change of any building, structure, development, land, open space or water shall be made or maintained unless in conformity with all of these regulations, including, without limitation, those for the district in which it is located.
Within each district, the regulations set forth shall be minimum requirements which shall apply to each class or kind of building, structure, development or land.
[Adopted. The general building heights and areas of the 2000 International Building Code is adopted to read as follows:]
CHAPTER 5
GENERAL BUILDING HEIGHTS AND AREAS
SECTION 501 GENERAL
501.1 Scope. The provisions of this chapter control the height and area of structures hereafter erected and additions to existing structures.
501.2 Premises identification. Approved numbers or addresses shall be provided for new buildings in such a position as to be clearly visible and legible from the street or roadway fronting the property. Letters or numbers shall be a minimum 3 inches (76 mm) in height and stroke of minimum 0.5 inch (12.7 mm) of a contrasting color to the background itself.
SECTIONS 502 DEFINITIONS
502.1 Definitions. The following words and terms shall, for the purposes of this chapter and as used elsewhere in this code, have the meanings shown herein.
AREA, BUILDING. The area included within surrounding exterior walls (or exterior walls and fire walls) exclusive of vent shafts and courts. Areas of the building not provided with surrounding walls shall be included in the building area if such areas are included within the horizontal projection of the roof or floor above.
BASEMENT. That portion of a building that is partly or completely below grade plane (See "Story above grade plane"). A basement shall be considered as a story above grade plane where the finished surface of the floor above the basement is:
1.
More than 6 feet (1829 mm) above grade plane;
2.
More than 6 feet (1829 mm) above the finished ground level for more than 50 percent of the total building perimeter; or
3.
More than 12 feet (3658 mm) above the finished ground level at any point.
GRADE PLANE. A reference plane representing the average of finished ground level adjoining the building at exterior walls. Where the finished ground level slopes away from the exterior walls, the reference plane shall be established by the lowest points within the area between the building and the lot line or, where the lot line is more than 6 feet (1829 mm) from the building, between the building and a point 6 feet (1829 mm) from the building.
HEIGHT, BUILDING. The vertical distance from grade plane to the average height of the highest roof surface.
HEIGHT, STORY. The vertical distance from top to top of two successive finished floor surfaces; and, for the topmost story, from the top of the floor finish to the top of the ceiling joists or, where there is not a ceiling, to the top of the roof rafters.
INDUSTRIAL EQUIPMENT PLATFORM. An unoccupied, elevated platform in an industrial occupancy used exclusively for mechanical systems and/or industrial process equipment, including the associated elevated walkways, stairs and ladders necessary to access the platform (see Section 505.5).
MEZZANINE. An intermediate level or levels between the floor and ceiling of any story with an aggregate floor area of not more than one-third of the area of the room or space in which the level or levels are located (See Section 505).
STORY. That portion of a building included between the upper surface of a floor and the upper surface of the floor or roof next above (also see "Basement" and "Mezzanine").
SECTION 503 GENERAL HEIGHT AND AREA LIMITATIONS
503.1 General. The height and area for buildings of different construction types shall be governed by the intended use of the building and shall not exceed the limits in Table 503 except as modified hereafter. Each part of a building included within the exterior walls or the exterior walls and fire walls where provided shall be permitted to be a separate building.
503.1.1 Basements. Basements need not be included in the total allowable area provided they do not exceed the area permitted for a one-story building.
503.1.2 Special industrial occupations. Buildings and structures designed to house low-hazard industrial processes that require large areas and unusual heights to accommodate craneways or special machinery and equipment, including among others, rolling mills; structural metal fabrication shops and foundries; or the production and distribution of electric, gas or steam power, shall be exempt from the height and area limitations of Table 503.
TABLE 503
ALLOWABLE HEIGHT AND BUILDING AREAS
Height limitations shown as stories and feet above grade plane.
Area limitations as determined by the definition of "area, building", per floor.
For SI: 1 foot = 305 mm, 1 square foot = 0.0929 m 2 .
UL = Unlimited
a.
As applicable in Section 101.2.
503.1.3 Buildings on same lot. Two or more buildings on the same lot shall be regulated as separate buildings or shall be considered as portions of one building if the height of each building and the aggregate area of buildings are within the limitations of Table 503 as modified by Sections 504 and 506. The provisions of this code applicable to the aggregate building shall be applicable to each building.
503.1.4 Type I construction. Buildings of Type I construction permitted to be of unlimited tabular heights and areas are not subject to the special requirements that allow unlimited area buildings in Section 507 or unlimited height in Sections 503.1.2 and 504.3 or increased height and areas for other types of construction.
503.2 Party walls. Any wall located on a property line between adjacent buildings which is used or adapted for joint service between the two buildings, shall be constructed as a fire wall in accordance with Section 705, without openings and shall create separate buildings.
503.3 Area determination. The maximum area of a building shall be determined by multiplying the allowable area per floor (Aa), as determined in Section 506.1 by the number of stories up to a maximum of three stories.
Exception: Unlimited area buildings in accordance with Section 507.
SECTION 504 HEIGHT MODIFICATIONS
504.1 General. The heights permitted by Table 503 shall only be increased in accordance with this section.
Exception: The height of one-story aircraft hangars, aircraft paint hangars and buildings used for the manufacturing of aircraft shall not be limited if the building is provided with an automatic fire-extinguishing system in accordance with Chapter 9 and is entirely surrounded by public ways or yards not less in width than one and one-half times the height of the building.
504.2 Automatic sprinkler increase. For buildings protected throughout with an approved automatic sprinkler system installed in accordance with Section 903.3.1.1, the value specified in Table 503 for maximum height is increased by 20 feet (6096 mm) and the maximum number of stories is increased by one story. For Group R buildings protected throughout with an approved automatic sprinkler system installed in accordance with Section 903.3.1.2, the value specified in Table 503 for maximum height is increased by 20 feet (6096 mm) and the maximum number of stories is increased by one story, but shall not exceed four stories or 60 feet (18 288 mm), respectively. These increases are permitted in addition to the area increase.
Exceptions:
1.
Group I-2 of Type IIB, III, IV or V construction.
2.
Group H-1, H-2, H-3 or H-5.
504.3 Roof structures. Towers, spires, steeples and other roof structures shall be constructed of materials consistent with the required type of construction of the building except where other construction is permitted by Section 1509.2.1. Such structures shall not be used for habitation or storage. The structures shall be unlimited in height if of noncombustible materials and shall not extend more than 20 feet (6096 mm) above the allowable height if of combustible materials. See Chapter 15 for additional requirements.
SECTION 505 MEZZANINES
505.1 General. A mezzanine or mezzanines in compliance with this section shall be considered a portion of the floor below. Such mezzanines shall not contribute to the building area as regulated by Section 503.1. Such mezzanines shall not contribute to the number of stories as regulated by Section 503.1. The area of the mezzanine shall be included in determining the fire area defined in Section 702. The clear height above and below the mezzanine floor construction shall not be less than 7 feet (2134 mm).
505.2 Area limitation. The aggregate area of a mezzanine or mezzanines within a room shall not exceed one-third of the area of that room or space in which they are located. The enclosed portions of rooms shall not be included in a determination of the size of the room in which the mezzanine is located. In determining the allowable mezzanine area, the area of the mezzanine shall not be included in the area of the room.
Exception: The aggregate area of mezzanines in buildings and structures of Type I or II construction for special industrial occupancies in accordance with Section 503.1.2 shall not exceed two-thirds of the area of the room.
505.3 Egress. Each occupant of a mezzanine shall have access to at least two independent means of egress where the common path of egress travel exceeds the limitations of Section 1004.2.5. Where a stairway provides a means of exit access from a mezzanine, the maximum travel distance includes the distance traveled on the stairway measured in the plane of the tread nosing.
Exception: A single means of egress shall be permitted in accordance with Section 1004.2.1.
505.4 Openness. A mezzanine shall be open and unobstructed to the room in which such mezzanine is located except for walls not more than 42 inches (1067 mm) high, columns and posts.
Exceptions:
1.
Mezzanines or portions thereof are not required to be open to the room in which the mezzanines are located, provided that the occupant load of the aggregate area of the enclosed space does not exceed 10.
2.
A mezzanine having two or more means of egress is not required to be open to the room in which the mezzanine is located, if at least one of the means of egress provides direct access to an exit from the mezzanine level.
3.
Mezzanines or portions thereof are not required to be open to the room in which the mezzanines are located, provided that the aggregate floor area of the enclosed space does not exceed 10 percent of the mezzanine area.
4.
In industrial facilities, mezzanines used for control equipment are permitted to be glazed on all sides.
5.
In Group F occupancies of unlimited area, meeting the requirements of Section 507.2 or Section 507.3, mezzanines or portions thereof are not required to be open to the room in which the mezzanines are located, provided that an approved fire alarm system is installed throughout the entire building or structure and notification appliances are installed throughout the mezzanines in accordance with the provisions of NFPA 72. In addition, the fire alarm system shall be initiated by automatic sprinkler water flow and manual activation.
505.5 Industrial equipment platforms. Industrial equipment platforms in buildings shall not be considered as a portion of the floor below. Such equipment platforms shall not contribute to the building area as regulated by Section 503.1. Such equipment platforms shall not contribute to the number of stories as regulated by Section 503.1. The area of the industrial equipment platform shall not be included in determining the fire area. Industrial equipment platforms shall not be a part of any mezzanine, and such platforms and the walkways, stairs and ladders providing access to an equipment platform, shall not serve as a part of the means of egress from the building.
505.5.1 Area limitations. The aggregate area of all industrial equipment platforms within a room shall not exceed two-thirds of the area of the room in which they occur. Where an equipment platform is located in the same room as a mezzanine, the area of the mezzanine shall be determined by Section 505.2, and the combined aggregate area of the equipment platforms and mezzanines shall not exceed two-thirds of the room in which they occur.
505.5.2 Fire suppression. Industrial equipment platforms shall be fully protected by an automatic sprinkler system above and below the platform, installed in accordance with Section 903.3.
505.5.3 Guards. Equipment platforms shall have guards where required by Section 1003.2.12.
SECTION 506 AREA MODIFICATIONS
506.1 General. The areas limited by Table 503 shall be permitted to be increased due to frontage
(If) and automatic sprinkler system protection (I;sub§\sub;) in accordance with the following:

Equation 5-1
where:
Aa = Allowable area per floor (square feet).
At = Tabular area per floor in accordance with Table 503 (square feet).
If = Area increase due to frontage (percent) as calculated in accordance with Section 506.2.
I;sub§\sub; = Area increase due to sprinkler protection (percent) as calculated in accordance with Section 506.3.
506.1.1 Basements. A single basement need not be included in the total allowable area provided such basement does not exceed the area permitted for a one-story building.
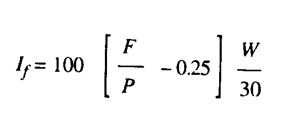
506.2 Frontage increase. Every building shall adjoin or have access to a public way to receive an area increase
for frontage. Where a building has more than 25 percent of its perimeter on a public
way or open space having a minimum width of 20 feet (6096 mm), the frontage increase
shall be determined in accordance with the following:

Equation 5-2
where:
If = Area increase due to frontage (percent).
F = Building perimeter which fronts on a public way or open space having 20 feet (6096 mm) open minimum width.
P = Perimeter of entire building.
W = Minimum width of public way or open space.
506.2.1 Width limits.W must be at least 20 feet (6096 mm) and the quantity W divided by 30 shall not exceed 1.0 except that for buildings which are permitted to be unlimited in area by Section 503.1.2, Section 507 or Section 508, the quantity W divided by 30 shall not exceed 2.0.
506.2.2 Open space limits. Such open space shall be either on the same lot or dedicated for public use and shall be accessed from a street or approved fire lane.
506.3 Automatic sprinkler system increase. Where a building is protected throughout with an approved automatic sprinkler system in accordance with Section 903.3.1.1, the area limitation in Table 503 is permitted to be increased by 200 percent (I;sub§\sub; = 200 percent) for multi-story buildings and 300 percent (I;sub§\sub; = 300 percent) for single-story buildings.
Exception: Group H-1, H-2 or H-3.
SECTION 507 UNLIMITED AREA BUILDINGS
507.1 Unsprinklered, one-story. The area of a one-story, Group F-2 or S-2 building shall not be limited when the building is surrounded and adjoined by public ways or yards not less than 60 feet (18 288 mm) in width.
507.2 Sprinklered, one-story. The area of a one-story, Group A-4, B, F, M or S building shall not be limited when the building is provided with an automatic sprinkler system throughout in accordance with Section 903.3.1.1, and is surrounded and adjoined by public ways or yards not less than 60 feet (18 288 mm) in width.
Exceptions:
1.
Buildings and structures of Types I and II construction for rack storage facilities, which do not have access by the public shall not be limited in height provided that such buildings conform to the requirements of Section 507.1 and NFPA 231C.
2.
The automatic sprinkler system shall not be required in areas occupied for indoor participant sports, such as tennis, skating, swimming and equestrian activities, in occupancies in Group A-4, provided that:
2.1.
Exit doors directly to the outside are provided for occupants of the participant sports areas, and
2.2.
The building is equipped with a fire alarm system with manual fire alarm boxes installed in accordance with Section 907.
507.3 Two-story. The area of a two-story, Group B, F, M or S building shall not be limited when the building is provided with an automatic sprinkler system in accordance with Section 903.3.1.1 throughout, and is surrounded and adjoined by public ways or yards not less than 60 feet (18 288 mm) in width.
507.4 Reduced open space. The permanent open space of 60 feet (18 288 mm) required in Sections 507.1, 507.2 and 507.3 shall be permitted to be reduced to not less than 40 feet (12 192 mm) provided the following requirements are met:
1.
The reduced open space shall not be allowed for more than 75 percent of the perimeter of the building.
2.
The exterior wall facing the reduced open space shall have a minimum fire-resistance rating of 3 hours.
3.
Openings in the exterior wall, facing the reduced open space, shall have opening protectives with a fire-resistance rating of 3 hours.
507.5 High-hazard use groups. Groups H-2, H-3 and H-4 fire areas shall be permitted in unlimited area buildings having occupancies in Use Groups F and S, in accordance with the limitations of this section. Fire areas located at the perimeter of the unlimited area building shall not exceed 10 percent of the area of the building nor the area limitations specified in Table 503 as modified by Section 506.2, based upon the percentage of the perimeter of the fire area that fronts on a street or other unoccupied space. Other fire areas shall not exceed 25 percent of the area limitations specified in Table 503. Fire-resistance rating requirements of fire barrier assemblies shall be in accordance with Table 302.3.3.
507.6 Aircraft paint hangar. The area of a one-story, Group H-2 aircraft paint hangar shall not be limited where such aircraft paint hangar complies with the provisions of Section 412.4 and is entirely surrounded by public ways or yards not less in width than one and one-half times the height of the building.
507.7 Group E buildings. The area of a one-story Group E building of Type II, IIIA or IV construction shall not be limited when the following criteria are met:
1.
Each classroom shall have not less than two means of egress, with one of the means of egress being a direct exit to the outside of the building complying with Section 1005.
2.
The building is equipped throughout with an automatic sprinkler system in accordance with Section 903.3.1.1.
3.
The building is surrounded and adjoined by public ways or yards not less than 60 feet (18 288 mm) in width.
507.8 Motion picture theaters. In buildings of Type I or II construction, the area of one-story motion picture theaters shall not be limited when the building is provided with an automatic sprinkler system throughout in accordance with Section 903.3.1.1 and is surrounded and adjoined by public ways or yards not less than 60 feet (18 288 mm) in width.
SECTION 508 SPECIAL PROVISIONS
508.1 General. The provisions in this section shall permit the use of special conditions that are exempt from, or modify, the specific requirements of this chapter regarding the allowable heights and areas of buildings based on the occupancy classification and type of construction, provided the special condition complies with the provisions specified in this section for that special condition and other applicable requirements of this code.
508.2 Group S-2 enclosed parking garage with Groups A, B, M or R above. A basement first story above grade plane of a building shall be considered as a separate and distinct building for the purpose of determining area limitations, continuity of fire walls, limitation of number of stories and type of construction, when all of the following conditions are met:
1.
The basement first story above grade plane is of Type IA construction and is separated from the building above with a horizontal assembly having a minimum 3-hour fire resistance rating. Openings in the horizontal assembly having a minimum 3-hour fire-resistance rating shall be protected by shaft, stairway, ramp or escalator enclosures extending above and below such openings. The walls of such enclosures shall have not less than a 2-hour fire-resistance rating and openings therein shall be protected by opening protectives having a minimum 1 ½-hour fire-protection rating.
Exception: Where the walls of such enclosures extending below the horizontal assembly having a minimum 3-hour fire-resistance rating to the foundation are provided with a fire-resistance rating of not less than 3 hours with openings therein protected as required for walls forming a 3-hour fire barrier, the enclosure walls extending above such floor used as the horizontal assembly having a minimum 3-hour fire-resistance rating shall be permitted to have a 1-hour fire-resistance rating provided:
1.
The building above is not required to be of Type I construction; and
2.
The enclosure walls do not enclose an exit stairway, a ramp or an escalator required to have enclosure walls with not less than a 2-hour fire-resistance rating.
3.
The building above the horizontal assembly having a minimum 2-hour fire-resistance rating contains only Groups A having an assembly room with an occupant load of less than 300, B, M or R and
4.
The building below the horizontal assembly having a minimum 3-hour fire-resistance rating is a Group S-2 enclosed parking garage, used exclusively for the parking and storage of private motor vehicles.
Exceptions:
1.
Entry lobbies, mechanical rooms and similar uses incidental to the operation of the building shall be permitted.
2.
Groups A having an assembly room with an occupant load of less than 300, B and M shall be permitted in addition to those uses incidental to the operation of the building (including storage areas), provided that the entire structure below the horizontal assembly having a minimum 3-hour fire-resistance rating is protected throughout by an approved automatic sprinkler system.
3.
4.
The maximum building height in feet shall not exceed the limits set forth in Table 503 for the least restrictive type of construction involved.
508.3 Group S-2 enclosed parking garage with Group S-2 open parking garage above. A Group S-2 enclosed parking garage located in the basement or first story below a Group S-2 open parking garage shall be classified as a separate and distinct building for the purpose of determining the type of construction when the following conditions are met:
1.
The allowable area of the structure shall be such that the sum of the ratios of the actual area divided by the allowable area for each separate occupancy shall not exceed 1.0.
2.
The Group S-2 enclosed parking garage is of Type I or II construction and is at least equal to the fire-resistance requirements of the Group S-2 Open Parking Garage.
3.
The height and the number of the floors above the basement shall be limited as specified in Table 406.3.1.
4.
The floor assembly separating the Group S-2 enclosed parking garage and Group S-2 open parking garage shall be protected as required for the floor assembly of the Group S-2 enclosed parking garage. Openings between the Group S-2 enclosed parking garage and Group S-2 open parking garage, except exit openings, shall not be required to be protected.
5.
The Group S-2 enclosed parking garage is used exclusively for the parking or storage of private motor vehicles, but shall be permitted to contain an office, waiting room and toilet room having a total area of not more than 1,000 square feet (93 m 2 ), and mechanical equipment rooms incidental to the operation of the building.
508.4 Special unlimited height for Groups B, M and R. The height of Group B, M and R buildings of Type IB construction shall not be limited, provided the fire resistance of columns shall be not less than 3 hours and the other structural members, including floors, shall be not less than that shown in Chapter 6, but in no case less than 2 hours, except that roofs and their supporting beams, girders, trusses and arches shall be not less than 1 ½ hours.
508.5 Parking beneath Group R. Where a maximum one-story above grade plane Group S-2 parking garage, enclosed or open, or combination thereof, of Type I construction or open of Type IV construction, with grade entrance, is provided under a building of Group R, the number of stories to be used in determining the minimum type of construction may be measured from the floor above such a parking area. The floor assembly between the parking garage and the Group R above shall comply with the type of construction required for the parking garage and shall also provide a fire-resistance rating not less than the mixed occupancy separation required in Section 302.3.3.
508.6 Group R-2 buildings of Type IIIA construction. The height limitation for buildings of Type IIIA construction in Group R-2 shall be increased to six stories and 75 feet (22 860 mm) where the first floor construction above the basement has a fire-resistance rating of not less than 3 hours and the floor area is subdivided by 2-hour fire-resistance-rated fire walls into areas of not more than 3,000 square feet (279 m 2 ).
508.7 Group R-2 buildings of Type IIA construction. The height limitation for buildings of Type IIA construction in Group R-2 shall be increased to nine stories and 100 feet (30 480 mm) where the building is separated by not less than 50 feet (15 240 mm) from any other building on the lot and from property lines, the exits are segregated in an area enclosed by a 2-hour fire-resistance-rated fire wall and the first floor construction has a fire resistance rating of not less than 1½ hours.
508.8 Open parking garage beneath Groups A, I, B, M and R. Open parking garages constructed under Groups A, I, B, M and R shall not exceed the height and area limitations permitted under Section 406.3. The height and area of the portion of the building above the open parking garage shall not exceed the limitations in Section 503 for the upper occupancy. The height, in both feet and stories, of the portion of the building above the open parking garage shall be measured from grade plane and shall include both the open parking garage and the portion of the building above the parking garage.
508.8.1 Fire separation. Fire separation assemblies between the parking occupancy and the upper occupancy shall correspond to the required fire-resistance rating prescribed in Table 302.3.3 for the uses involved. The type of construction shall apply to each occupancy individually, except that structural members, including main bracing within the open parking structure, which is necessary to support the upper occupancy, shall be protected with the more restrictive fire-resistive assemblies of the use groups involved as shown in Table 601. Means of egress for the upper occupancy shall conform to Chapter 10 and shall be separated from the parking occupancy by fire barriers having at least a 2-hour fire-resistance rating as required by Section 706, with self-closing doors complying with Section 714. Means of egress from the open parking garage shall comply with Section 406.3.
(Ord. No. 2002-13, § 1, 7-9-2002; Ord. No. 2004-20, § 2, 9-14-2004)
No building or structure shall be erected and no use shall be established unless upon a lot of record as defined by these regulations except as otherwise provided herein.
Only one principal building and its accessory buildings may be erected on any one lot of record; provided, however, that more than one dwelling, office, institutional, commercial or industrial building may be located upon a lot, subject to setbacks and separation as provided in these regulations.
(Ord. No. 2022-02, § 1, 1-11-2022)
Editor's note— Ord. No. 2002-13, § 2, adopted July 9, 2002, repealed Section 410, in its entirety. Former Section 410 pertained to separation between principal buildings and derived from a Res. adopted March 11, 1997.
(a)
In the general commercial district and the industrial district, no building or structure other than driveways, parking lots, fences and signs shall hereafter be erected which is located closer than 30 feet to any public right-of-way or closer than ten feet to any property line.
(b)
In all zoning districts, except multifamily housing and the industrial district, no building or structure other than driveways, parking lots or fences shall hereafter be erected which is located closer than 30 feet to the rear and side property lines.
(c)
Except as provided in (d) below, in all zoning districts, except the general commercial district and the industrial district, no building or structure other than driveways, parking lots or fences shall hereafter be erected which is located closer than 70 feet to the centerline of any road right of way, or 30 feet from the front property line, whichever is greater.
(d)
In all zoning districts, except the general commercial district and the industrial district, if the property fronts on a paved roadway with a dedicated road right of way of 60 feet or more, no building or structure other than driveways, parking lots or fences shall hereafter be erected which is located closer than 30 feet from the front property line.
(Res. No. 2000-05, § 1, 2-8-2000; Ord. No. 2003-12, § 1, 4-8-2003; Ord. No. 2004-21, § 1, 9-14-2004; Ord. No. 2022-02, § 2, 1-11-2022)
In R1 zones, accessory buildings and structures shall be located only in the side or rear yards.
(Ord. No. 2024-27, § 1, 5-14-2024)
No lot shall hereafter be created which does not contain a minimum lot size of two acres; provided, however, that lots for nonresidential development may be less than two acres subject to the approval of the Banks County Health Department. These requirements shall be in addition to any requirements contained in any Banks County subdivision regulations. For additional regulations regarding lot size, reference should be made to each individual zoning district.
(Ord. No. 2002-13, § 3, 7-9-2002; Ord. No. 2022-02, § 3, 1-11-2022)
No lot shall be reduced, divided or changed in size so that lot width, size of yards, lot area per dwelling unit or any other requirement of these regulations, or any other regulations applicable thereto, is not maintained, unless said reduction or division is necessary to provide land which is acquired for a public purpose.
The governing body is empowered to hear and decide appeals where it is alleged there is an error in any order, requirement, decision or determination made in the interpretation or enforcement of these zoning regulations or the policies and procedures ordinance; provided, however, that this section shall not apply to decisions on applications for rezoning, conditional use permits or variances. The governing body is empowered to hear an appeal made by any person, firm, or corporation, or by any officer, department, board or bureau affected by any decisions of any employee based on these regulations or the policies and procedures ordinance. Such appeal shall be taken within 60 days after the date of the action to which the appeal relates, and as provided by any rules of the governing body by filing with the zoning administrative officer notice of appeal specifying the grounds thereof. All papers constituting the record upon which the action to which the appeal relates was taken shall forthwith be transmitted to the governing body. The governing body shall select a reasonable time and place of the hearing of the appeal, shall give at least 15 days of public notice thereof, and shall render a decision on the appeal within a reasonable time. The appeal procedures set out herein are mandatory in regard to all matters to which they apply, and no person shall bring any action in any court relating to the validity, interpretation or enforcement of these regulations or the policies and procedures ordinance without first resorting to these administrative procedures, if applicable.
The governing body is hereby empowered to authorize upon application in specific cases such variance from the terms of these regulations as will not be contrary to the public interest where, owing to special conditions, a literal enforcement of the provisions of these regulations will, in an individual case, result in unnecessary hardship, so that the spirit of these regulations shall be observed, public safety and welfare secured, and substantial justice done. The existence of a nonconforming use or conditional use of neighboring land, buildings or structures in the same zoning district or of permitted uses, conditional uses or nonconforming uses in other zoning districts shall not constitute a reason for the requested variance. A variance may be granted in an individual case of unnecessary hardship, after appropriate application and public hearings in accordance with the policies and procedures ordinance, upon specific findings that all of the following conditions exist, with the absence of any one of the conditions being grounds for denial of the application for variance:
1.
There are extraordinary and exceptional conditions pertaining to the particular piece of property in question because of its size, shape or topography that are not applicable to other land or structures in the same district; and
2.
A literal interpretation of the provisions of these regulations would create an unnecessary hardship and would deprive the applicant of rights commonly enjoyed by other property owners within the district in which the property is located; and
3.
Granting the variance requested will not confer upon the property of the applicant any special privileges that are denied to other properties of the district in which the applicant's property is located; and
4.
Relief, if granted, will be in harmony with the purpose and intent of these regulations and will not be injurious to the neighborhood or the health or general welfare of the public in such a manner as will interfere with or discourage the appropriate development and use of other property or unreasonably affect its value; and
5.
The special circumstances are not the result of the actions of the applicant; and
6.
The variance requested is the minimum variance that will make possible the legal use of the land, building, or structure; and
7.
The variance is not a request to permit a use of land, building or structures which are not permitted by right in the district involved.
A home occupation as defined by these regulations shall conform to the following requirements:
1.
A maximum of one person not residing in the dwelling may be employed in connection with the home occupation. There is no limit on the number of other employees, provided that they reside within the dwelling on the premises.
2.
The home occupation shall be clearly incidental and secondary to the residential use of the dwelling and lot and shall not change the residential character of the building, lot, or neighborhood.
3.
No storage or display of products, equipment, customer vehicles or other items or other materials shall be visible from the adjoining street or adjacent properties.
4.
Vehicles used primarily as passenger vehicles shall be permitted in connection with the conduct of a home occupation, but only one commercial vehicle is permitted to be used per home occupation.
5.
No external alterations of the dwelling solely for the accommodation of a home occupation are permitted. No home occupation shall be conducted in a separate garage, barn, shop or other accessory building unless the home occupation is approved as a conditional use by the county commissioners.
6.
No chemical, electrical, or mechanical equipment shall be used in connection with the home occupation if it generates any noise, odor, environmental hazard or other nuisance which is detectible to any extent at the common boundary of the property and any neighboring properties. No such equipment shall be placed so as to be visible to any neighboring property or any public road.
7.
No business identification sign for a home occupation business shall be allowed in a R-1 or R-2 zoning district but in all other districts one non-illuminated business identification sign not exceeding 12 square feet shall be permitted.
8.
Use of a dwelling for a home occupation shall not exceed 25 percent of one floor of the principal dwelling. In addition to the other requirements of this section, home occupations shall be permitted, in whole or part, within accessory buildings only on lots of at least two acres and if a setback of 50 feet is maintained from each property line.
9.
A business license shall be obtained from Banks County prior to the operation of any home occupation. Said business license shall require approval by the zoning administrative officer.
10.
The following uses are allowable as home occupations (not all inclusive): tutoring, consultation and instruction in music, dance, arts, crafts and similar subjects limited to two students at one time; day care centers serving six or less persons; professional services (i.e., attorneys, architects, accountants, realtors, insurance and travel agents); secretarial services and answering services; mail order and general offices not involving storage of equipment, materials, products or vehicles; phone solicitations, beauty salons and barber shops limited to two operators/chairs; food catering).
11.
The following are conditional uses: cabinet shops and/or metal cutting; doctors, dentists or other medical professions; automobile body work; automobile repair or related work, and any other home occupation where an accessory building is to be built on or moved to the property for such use.
The failure of a home occupation licensee to comply with any of the above conditions shall be reasonable grounds for revocation of a home occupation business license.
All applicants for home occupations must appear before the Board of Commissioners of Banks County and only the Board of Commissioners of Banks County can approve a home occupation.
(Ord. No. 2004-11, § 1, 6-8-2004; Ord. No. 2022-13, § 1, 2-8-2022)
No fence, wall, sign, hedge or planting which obstructs the sight lines at elevations between two and 12 feet above any roadway shall be placed or permitted to remain on any corner lot within the triangular area formed by the street right-of-way lines, or such lines extended, and a line connecting such right-of-way lines at points 25 feet from the intersection of the right-of-way lines.
Except as otherwise expressly permitted, it shall be prohibited in all districts to park or continuously store abandoned, wrecked, junked or inoperable vehicles, power-driven construction equipment, used lumber or metal, or any other miscellaneous scrap material in quantity that is visible from a public street or adjacent or surrounding property. Said prohibition shall not be construed so as to prohibit the temporary repair or maintenance of automobiles owned by the property owner or the storage of such vehicles, equipment or other materials within an enclosed building, provided that such vehicles, equipment or materials are not for commercial sale. This section shall be construed to permit such vehicles or equipment, unless such use can be construed to be a junk/salvage yard or wrecked motor vehicle compound, if such vehicles and/or materials are not visible from a public street or surrounding property; that is, if screening is provided as defined by this Resolution. Existing junk/salvage yards and wrecked motor vehicle compounds qualifying as nonconforming uses shall have until July 1, 1992, to comply with the screening provisions of this section.
The ambient noise level of any given activity in any zoning district emanating from a given property shall not exceed the following maximum permitted decibels as measured from the closest property line of property located within an ARR or R-1 zoning district:
Note: The measurement of sound or noise shall be made with a sound level meter and octave band analyzer meeting the standards prescribed by the American Standards Association which is maintained in calibration and good working order.
Existing facilities and activities which exceed the permitted maximum sound pressure specified above shall, no later than July 1, 1992, institute or install suitable noise attenuation measures (reduction of activity, erection of barriers, etc.) so that noise levels no longer exceed the maximums herein established.
In cases where noise studies have been prepared by or for the governing body which document that a given facility or activity exceeds the maximum permitted sound pressure specified in this section on two or more separate days of measurement, and the period of conformity described above has elapsed, the governing body may institute whatever legal proceedings and remedies as may be provided by law to ensure compliance with the requirements of this section.
For the purposes of this chapter, a short-term rental (STR) shall be defined as the rental of any residential home or portion of any residential home to transient guests for a period of time no longer than 7 consecutive days.
A short-term rental as defined by these regulations shall conform to the following requirements:
1.
No person or entity shall rent all or any portion of a dwelling unit as short-term rental without first obtaining a short-term rental license pursuant to the regulations contained in this chapter. Such a license shall be valid for one year, renewable annually. Licenses are non-transferrable and should ownership change, a new application and fee will be required. Licenses are only effective at the location for which they are issued; each rental property must have its own separate license.
2.
Applicants for a short-term rental license shall submit, on an annual basis, an application for a short-term rental license to the Department of Planning and Zoning. The application shall be accompanied by a non-refundable application fee in the amount of $150.00. Such application should include:
a.
The address of the unit to be used as a short-term rental;
b.
Proof of ownership of the unit;
c.
Proof of homeowner's insurance;
d.
The maximum occupancy and parking limitations;
e.
The name, address, telephone number and email address of the short-term rental agent, which shall include 24-hour contact information;
f.
A signed acknowledgement that the owner or agent has reviewed this chapter and understands its requirements; and
g.
The agent's agreement to assure that use of the premises by short-term rental occupants will not disrupt the neighborhood and will not interfere with the rights of neighboring property owners to the quiet enjoyment of their properties.
3.
The owner of the rental residence or the rental agent must be available to handle any problems arising from use of the short-term rental unit; post emergency contact name and phone number in a readily visible place in the short-term rental unit; receive and accept responsibility of any notice of violation related to the use or occupancy of the premises; and monitor the short-term rental unit for compliance with this chapter.
4.
STRs must provide proof of registration with the Georgia State Department of Revenue as they shall be subject to applicable state and local taxes and are responsible for payment thereof as established by state law and the county code. Short-term rentals shall be subject to the hotel-motel tax for the furnishing of rooms as permitted under O.C.G.A. § 48-13-51.
5.
There shall be posted inside the unit a copy of the rental license as well as emergency contact information and rules of conduct to include maximum occupancy and maximum parking.
6.
Maximum occupancy for a short-term rental shall be two persons per bed plus with a maximum of four bunks, but no rental shall have a maximum occupancy greater than twelve. Maximum parking shall be limited to one car per bedroom plus one additional car per residence, but no maximum parking shall exceed six vehicles.
7.
All structures built for the purpose of short-term rental shall be built to the current international, state, and county codes for building, zoning, fire prevention, and health and sanitation and shall be required to be permitted and inspected as such. An operable interconnected, hard-wired smoke detection system, with battery backup, is required outside each bedroom. (In the case of registered nonconforming uses, an operable battery-operated smoke detector outside of each bedroom will be accepted.) Any units with LP or natural gas must have a carbon monoxide detection system as well.
8.
There shall be only one dwelling (primary or rental) per parcel. No vacation rentals may be operated out of any type of outbuilding or accessory structure.
9.
New rentals must meet the minimum requirement of 1,000 sq. ft. of heated space as outlined in Section 602(4) of this Code. Homes built prior to the 1,000 sq. ft. minimum may be considered for rentals. No tiny homes will be permitted. HUD approved manufactured homes of any size are allowable and may be considered for rentals.
10.
No recreational vehicles, no campers, no tents, nor any structures of a temporary nature may be used for short-term rentals.
11.
All new applications for short-term rentals/vacation rentals must be approved in a public hearing by the Board of Commissioners with a recommendation from the Planning Commission.
Violations of this chapter will be cited and are punishable by fine. Multiple citations may result in the suspension or revocation of a license.
Existing short-term rentals qualifying as nonconforming uses must register with the Planning and Zoning Department by 9/1/2024 to keep their nonconforming status. An STR in existence prior to this ordinance that is not registered as nonconforming will be treated as a new use and held to the criteria established by this chapter. Nonconforming licenses which have been relinquished or revoked shall not be reinstated.
(Ord. No. 2024-31, § 1, 5-14-2024)
GENERAL PROVISIONS
(a)
For the purposes of these regulations, unincorporated Banks County is hereby divided into eight zoning districts as follows:
(1)
CAD, Consolidated Agricultural District-Intensive;
(2)
ARR, Agricultural Rural Residential District;
(3)
R-1, Single Family Residential District;
(4)
R-2, Residential Multifamily District;
(5)
C-1, Neighborhood Commercial District;
(6)
C-2, General Commercial District;
(7)
C-3, Warehouse and Distribution District;
(8)
M-1, Industrial District.
(b)
All references to the former CAD, Commercial Agricultural District shall be immediately replaced by CAD, Consolidated Agricultural District-Intensive.
(Ord. No. 2005-02, § 1, 1-11-2005; Ord. No. 2022-01, § 1, 1-11-2022)
The location and boundaries of the above listed districts are hereby established as shown on a map entitled "Official Zoning Map of Unincorporated Banks County, Georgia." Said map, together with any explanatory matter thereon, is hereby adopted by reference and declared to be a part of these regulations.
(Ord. No. 2006-10, § 1, 5-9-2006; Ord. No. 2022-01, § 2, 1-11-2022)
403.1 Where boundaries are indicated as approximately following the centerline of streets or highways, street right-of-way lines or railroad right-of-way lines or such lines extended, such centerline, street right-of-way lines, or railroad right-of-way lines shall be construed to be such boundaries.
403.2 Where boundaries are indicated as approximately following the corporate limit line of a city or county, such corporate limit line shall be construed to be such boundaries.
403.3 Where boundaries are indicated as approximately following property lines or such lines extended, such property lines or such lines extended, as indicated by boundary survey, deed or legal description maintained in the official file of said zoning adoption or amendment, if available, shall be construed to be such boundaries.
403.4 Where boundaries are indicated as approximately following the centerline of stream beds or river beds, such centerline shall be construed to be such boundaries.
403.5 In the case where the exact location of a boundary cannot be determined by the foregoing methods, the governing body shall, upon application, determine the location of the boundary.
404.1 Subject to the provisions of section 404.2 through 404.5 hereof, the use of any building, structure or land which was actually in existence at the time of enactment of these regulations or any amendment hereto which may prohibit, restrict or regulate such use, which use was at that time, in full compliance with all applicable federal, state and local laws, rules and regulations, and for which use all required federal, state or local permits or authorizations were then, and continue to be, in existence, may be continued even though the use of such building, structure, or land does not conform with the provisions of these regulations or any amendment hereto which may prohibit, restrict or regulate such use, unless specifically provided otherwise in these regulations.
404.2 A nonconforming use may not be changed to another use without compliance with these regulations.
404.3 A nonconforming use may not be expanded, extended or enlarged or have its value increased or enhanced, but may be repaired or rebuilt if wholly or partially damaged or destroyed by fire or other casualties beyond the control of the property owner or other person engaged in the use.
404.4 A non-conforming use may not be reestablished after discontinuance for three years or more.
404.5 Nothing herein shall prevent the strengthening or restoration to a safe condition of any part of any building which is part of a nonconforming use which has been declared by any public authority having jurisdiction thereof to be unsafe.
404.6 Notwithstanding the provisions of subsections 404.1 through 404.5, the replacement of a mobile/manufactured home that is a nonconforming use shall not be a violation of section 404, if the replacement mobile/manufactured home complies with the Banks County Mobile/Manufactured Home Ordinance and if the existing mobile/manufactured home is removed from the property.
404.7 Notwithstanding paragraph 404.4, if there are two or more buildings or structures on the land and if one or more of the buildings or structures do not conform to the provisions of these regulations or any amendment hereto, and if the same business activity has been continued, not abandoned for three years or more, in at least one of the buildings or structures on the land, and if the other building(s) or structure(s) on the land has not been used for three or more years, then, in such event, all of the buildings or structures on the land may be reestablished as nonconforming uses under these regulations and used for the same business use for which they were previously being used.
(Res. No. 2000-25, § 1, 10-18-2000; Ord. No. 2002-10, §§ 1, 2, 6-11-2002)
Except as otherwise specifically provided in these regulations, no building, structure, development, land, open space or water shall hereafter be used or occupied; no building, structure or development or part thereof shall hereafter be erected, constructed, reconstructed, moved, structurally altered or maintained, and no new use or change of any building, structure, development, land, open space or water shall be made or maintained unless in conformity with all of these regulations, including, without limitation, those for the district in which it is located.
Within each district, the regulations set forth shall be minimum requirements which shall apply to each class or kind of building, structure, development or land.
[Adopted. The general building heights and areas of the 2000 International Building Code is adopted to read as follows:]
CHAPTER 5
GENERAL BUILDING HEIGHTS AND AREAS
SECTION 501 GENERAL
501.1 Scope. The provisions of this chapter control the height and area of structures hereafter erected and additions to existing structures.
501.2 Premises identification. Approved numbers or addresses shall be provided for new buildings in such a position as to be clearly visible and legible from the street or roadway fronting the property. Letters or numbers shall be a minimum 3 inches (76 mm) in height and stroke of minimum 0.5 inch (12.7 mm) of a contrasting color to the background itself.
SECTIONS 502 DEFINITIONS
502.1 Definitions. The following words and terms shall, for the purposes of this chapter and as used elsewhere in this code, have the meanings shown herein.
AREA, BUILDING. The area included within surrounding exterior walls (or exterior walls and fire walls) exclusive of vent shafts and courts. Areas of the building not provided with surrounding walls shall be included in the building area if such areas are included within the horizontal projection of the roof or floor above.
BASEMENT. That portion of a building that is partly or completely below grade plane (See "Story above grade plane"). A basement shall be considered as a story above grade plane where the finished surface of the floor above the basement is:
1.
More than 6 feet (1829 mm) above grade plane;
2.
More than 6 feet (1829 mm) above the finished ground level for more than 50 percent of the total building perimeter; or
3.
More than 12 feet (3658 mm) above the finished ground level at any point.
GRADE PLANE. A reference plane representing the average of finished ground level adjoining the building at exterior walls. Where the finished ground level slopes away from the exterior walls, the reference plane shall be established by the lowest points within the area between the building and the lot line or, where the lot line is more than 6 feet (1829 mm) from the building, between the building and a point 6 feet (1829 mm) from the building.
HEIGHT, BUILDING. The vertical distance from grade plane to the average height of the highest roof surface.
HEIGHT, STORY. The vertical distance from top to top of two successive finished floor surfaces; and, for the topmost story, from the top of the floor finish to the top of the ceiling joists or, where there is not a ceiling, to the top of the roof rafters.
INDUSTRIAL EQUIPMENT PLATFORM. An unoccupied, elevated platform in an industrial occupancy used exclusively for mechanical systems and/or industrial process equipment, including the associated elevated walkways, stairs and ladders necessary to access the platform (see Section 505.5).
MEZZANINE. An intermediate level or levels between the floor and ceiling of any story with an aggregate floor area of not more than one-third of the area of the room or space in which the level or levels are located (See Section 505).
STORY. That portion of a building included between the upper surface of a floor and the upper surface of the floor or roof next above (also see "Basement" and "Mezzanine").
SECTION 503 GENERAL HEIGHT AND AREA LIMITATIONS
503.1 General. The height and area for buildings of different construction types shall be governed by the intended use of the building and shall not exceed the limits in Table 503 except as modified hereafter. Each part of a building included within the exterior walls or the exterior walls and fire walls where provided shall be permitted to be a separate building.
503.1.1 Basements. Basements need not be included in the total allowable area provided they do not exceed the area permitted for a one-story building.
503.1.2 Special industrial occupations. Buildings and structures designed to house low-hazard industrial processes that require large areas and unusual heights to accommodate craneways or special machinery and equipment, including among others, rolling mills; structural metal fabrication shops and foundries; or the production and distribution of electric, gas or steam power, shall be exempt from the height and area limitations of Table 503.
TABLE 503
ALLOWABLE HEIGHT AND BUILDING AREAS
Height limitations shown as stories and feet above grade plane.
Area limitations as determined by the definition of "area, building", per floor.
For SI: 1 foot = 305 mm, 1 square foot = 0.0929 m 2 .
UL = Unlimited
a.
As applicable in Section 101.2.
503.1.3 Buildings on same lot. Two or more buildings on the same lot shall be regulated as separate buildings or shall be considered as portions of one building if the height of each building and the aggregate area of buildings are within the limitations of Table 503 as modified by Sections 504 and 506. The provisions of this code applicable to the aggregate building shall be applicable to each building.
503.1.4 Type I construction. Buildings of Type I construction permitted to be of unlimited tabular heights and areas are not subject to the special requirements that allow unlimited area buildings in Section 507 or unlimited height in Sections 503.1.2 and 504.3 or increased height and areas for other types of construction.
503.2 Party walls. Any wall located on a property line between adjacent buildings which is used or adapted for joint service between the two buildings, shall be constructed as a fire wall in accordance with Section 705, without openings and shall create separate buildings.
503.3 Area determination. The maximum area of a building shall be determined by multiplying the allowable area per floor (Aa), as determined in Section 506.1 by the number of stories up to a maximum of three stories.
Exception: Unlimited area buildings in accordance with Section 507.
SECTION 504 HEIGHT MODIFICATIONS
504.1 General. The heights permitted by Table 503 shall only be increased in accordance with this section.
Exception: The height of one-story aircraft hangars, aircraft paint hangars and buildings used for the manufacturing of aircraft shall not be limited if the building is provided with an automatic fire-extinguishing system in accordance with Chapter 9 and is entirely surrounded by public ways or yards not less in width than one and one-half times the height of the building.
504.2 Automatic sprinkler increase. For buildings protected throughout with an approved automatic sprinkler system installed in accordance with Section 903.3.1.1, the value specified in Table 503 for maximum height is increased by 20 feet (6096 mm) and the maximum number of stories is increased by one story. For Group R buildings protected throughout with an approved automatic sprinkler system installed in accordance with Section 903.3.1.2, the value specified in Table 503 for maximum height is increased by 20 feet (6096 mm) and the maximum number of stories is increased by one story, but shall not exceed four stories or 60 feet (18 288 mm), respectively. These increases are permitted in addition to the area increase.
Exceptions:
1.
Group I-2 of Type IIB, III, IV or V construction.
2.
Group H-1, H-2, H-3 or H-5.
504.3 Roof structures. Towers, spires, steeples and other roof structures shall be constructed of materials consistent with the required type of construction of the building except where other construction is permitted by Section 1509.2.1. Such structures shall not be used for habitation or storage. The structures shall be unlimited in height if of noncombustible materials and shall not extend more than 20 feet (6096 mm) above the allowable height if of combustible materials. See Chapter 15 for additional requirements.
SECTION 505 MEZZANINES
505.1 General. A mezzanine or mezzanines in compliance with this section shall be considered a portion of the floor below. Such mezzanines shall not contribute to the building area as regulated by Section 503.1. Such mezzanines shall not contribute to the number of stories as regulated by Section 503.1. The area of the mezzanine shall be included in determining the fire area defined in Section 702. The clear height above and below the mezzanine floor construction shall not be less than 7 feet (2134 mm).
505.2 Area limitation. The aggregate area of a mezzanine or mezzanines within a room shall not exceed one-third of the area of that room or space in which they are located. The enclosed portions of rooms shall not be included in a determination of the size of the room in which the mezzanine is located. In determining the allowable mezzanine area, the area of the mezzanine shall not be included in the area of the room.
Exception: The aggregate area of mezzanines in buildings and structures of Type I or II construction for special industrial occupancies in accordance with Section 503.1.2 shall not exceed two-thirds of the area of the room.
505.3 Egress. Each occupant of a mezzanine shall have access to at least two independent means of egress where the common path of egress travel exceeds the limitations of Section 1004.2.5. Where a stairway provides a means of exit access from a mezzanine, the maximum travel distance includes the distance traveled on the stairway measured in the plane of the tread nosing.
Exception: A single means of egress shall be permitted in accordance with Section 1004.2.1.
505.4 Openness. A mezzanine shall be open and unobstructed to the room in which such mezzanine is located except for walls not more than 42 inches (1067 mm) high, columns and posts.
Exceptions:
1.
Mezzanines or portions thereof are not required to be open to the room in which the mezzanines are located, provided that the occupant load of the aggregate area of the enclosed space does not exceed 10.
2.
A mezzanine having two or more means of egress is not required to be open to the room in which the mezzanine is located, if at least one of the means of egress provides direct access to an exit from the mezzanine level.
3.
Mezzanines or portions thereof are not required to be open to the room in which the mezzanines are located, provided that the aggregate floor area of the enclosed space does not exceed 10 percent of the mezzanine area.
4.
In industrial facilities, mezzanines used for control equipment are permitted to be glazed on all sides.
5.
In Group F occupancies of unlimited area, meeting the requirements of Section 507.2 or Section 507.3, mezzanines or portions thereof are not required to be open to the room in which the mezzanines are located, provided that an approved fire alarm system is installed throughout the entire building or structure and notification appliances are installed throughout the mezzanines in accordance with the provisions of NFPA 72. In addition, the fire alarm system shall be initiated by automatic sprinkler water flow and manual activation.
505.5 Industrial equipment platforms. Industrial equipment platforms in buildings shall not be considered as a portion of the floor below. Such equipment platforms shall not contribute to the building area as regulated by Section 503.1. Such equipment platforms shall not contribute to the number of stories as regulated by Section 503.1. The area of the industrial equipment platform shall not be included in determining the fire area. Industrial equipment platforms shall not be a part of any mezzanine, and such platforms and the walkways, stairs and ladders providing access to an equipment platform, shall not serve as a part of the means of egress from the building.
505.5.1 Area limitations. The aggregate area of all industrial equipment platforms within a room shall not exceed two-thirds of the area of the room in which they occur. Where an equipment platform is located in the same room as a mezzanine, the area of the mezzanine shall be determined by Section 505.2, and the combined aggregate area of the equipment platforms and mezzanines shall not exceed two-thirds of the room in which they occur.
505.5.2 Fire suppression. Industrial equipment platforms shall be fully protected by an automatic sprinkler system above and below the platform, installed in accordance with Section 903.3.
505.5.3 Guards. Equipment platforms shall have guards where required by Section 1003.2.12.
SECTION 506 AREA MODIFICATIONS
506.1 General. The areas limited by Table 503 shall be permitted to be increased due to frontage
(If) and automatic sprinkler system protection (I;sub§\sub;) in accordance with the following:

Equation 5-1
where:
Aa = Allowable area per floor (square feet).
At = Tabular area per floor in accordance with Table 503 (square feet).
If = Area increase due to frontage (percent) as calculated in accordance with Section 506.2.
I;sub§\sub; = Area increase due to sprinkler protection (percent) as calculated in accordance with Section 506.3.
506.1.1 Basements. A single basement need not be included in the total allowable area provided such basement does not exceed the area permitted for a one-story building.
506.2 Frontage increase. Every building shall adjoin or have access to a public way to receive an area increase
for frontage. Where a building has more than 25 percent of its perimeter on a public
way or open space having a minimum width of 20 feet (6096 mm), the frontage increase
shall be determined in accordance with the following:

Equation 5-2
where:
If = Area increase due to frontage (percent).
F = Building perimeter which fronts on a public way or open space having 20 feet (6096 mm) open minimum width.
P = Perimeter of entire building.
W = Minimum width of public way or open space.
506.2.1 Width limits.W must be at least 20 feet (6096 mm) and the quantity W divided by 30 shall not exceed 1.0 except that for buildings which are permitted to be unlimited in area by Section 503.1.2, Section 507 or Section 508, the quantity W divided by 30 shall not exceed 2.0.
506.2.2 Open space limits. Such open space shall be either on the same lot or dedicated for public use and shall be accessed from a street or approved fire lane.
506.3 Automatic sprinkler system increase. Where a building is protected throughout with an approved automatic sprinkler system in accordance with Section 903.3.1.1, the area limitation in Table 503 is permitted to be increased by 200 percent (I;sub§\sub; = 200 percent) for multi-story buildings and 300 percent (I;sub§\sub; = 300 percent) for single-story buildings.
Exception: Group H-1, H-2 or H-3.
SECTION 507 UNLIMITED AREA BUILDINGS
507.1 Unsprinklered, one-story. The area of a one-story, Group F-2 or S-2 building shall not be limited when the building is surrounded and adjoined by public ways or yards not less than 60 feet (18 288 mm) in width.
507.2 Sprinklered, one-story. The area of a one-story, Group A-4, B, F, M or S building shall not be limited when the building is provided with an automatic sprinkler system throughout in accordance with Section 903.3.1.1, and is surrounded and adjoined by public ways or yards not less than 60 feet (18 288 mm) in width.
Exceptions:
1.
Buildings and structures of Types I and II construction for rack storage facilities, which do not have access by the public shall not be limited in height provided that such buildings conform to the requirements of Section 507.1 and NFPA 231C.
2.
The automatic sprinkler system shall not be required in areas occupied for indoor participant sports, such as tennis, skating, swimming and equestrian activities, in occupancies in Group A-4, provided that:
2.1.
Exit doors directly to the outside are provided for occupants of the participant sports areas, and
2.2.
The building is equipped with a fire alarm system with manual fire alarm boxes installed in accordance with Section 907.
507.3 Two-story. The area of a two-story, Group B, F, M or S building shall not be limited when the building is provided with an automatic sprinkler system in accordance with Section 903.3.1.1 throughout, and is surrounded and adjoined by public ways or yards not less than 60 feet (18 288 mm) in width.
507.4 Reduced open space. The permanent open space of 60 feet (18 288 mm) required in Sections 507.1, 507.2 and 507.3 shall be permitted to be reduced to not less than 40 feet (12 192 mm) provided the following requirements are met:
1.
The reduced open space shall not be allowed for more than 75 percent of the perimeter of the building.
2.
The exterior wall facing the reduced open space shall have a minimum fire-resistance rating of 3 hours.
3.
Openings in the exterior wall, facing the reduced open space, shall have opening protectives with a fire-resistance rating of 3 hours.
507.5 High-hazard use groups. Groups H-2, H-3 and H-4 fire areas shall be permitted in unlimited area buildings having occupancies in Use Groups F and S, in accordance with the limitations of this section. Fire areas located at the perimeter of the unlimited area building shall not exceed 10 percent of the area of the building nor the area limitations specified in Table 503 as modified by Section 506.2, based upon the percentage of the perimeter of the fire area that fronts on a street or other unoccupied space. Other fire areas shall not exceed 25 percent of the area limitations specified in Table 503. Fire-resistance rating requirements of fire barrier assemblies shall be in accordance with Table 302.3.3.
507.6 Aircraft paint hangar. The area of a one-story, Group H-2 aircraft paint hangar shall not be limited where such aircraft paint hangar complies with the provisions of Section 412.4 and is entirely surrounded by public ways or yards not less in width than one and one-half times the height of the building.
507.7 Group E buildings. The area of a one-story Group E building of Type II, IIIA or IV construction shall not be limited when the following criteria are met:
1.
Each classroom shall have not less than two means of egress, with one of the means of egress being a direct exit to the outside of the building complying with Section 1005.
2.
The building is equipped throughout with an automatic sprinkler system in accordance with Section 903.3.1.1.
3.
The building is surrounded and adjoined by public ways or yards not less than 60 feet (18 288 mm) in width.
507.8 Motion picture theaters. In buildings of Type I or II construction, the area of one-story motion picture theaters shall not be limited when the building is provided with an automatic sprinkler system throughout in accordance with Section 903.3.1.1 and is surrounded and adjoined by public ways or yards not less than 60 feet (18 288 mm) in width.
SECTION 508 SPECIAL PROVISIONS
508.1 General. The provisions in this section shall permit the use of special conditions that are exempt from, or modify, the specific requirements of this chapter regarding the allowable heights and areas of buildings based on the occupancy classification and type of construction, provided the special condition complies with the provisions specified in this section for that special condition and other applicable requirements of this code.
508.2 Group S-2 enclosed parking garage with Groups A, B, M or R above. A basement first story above grade plane of a building shall be considered as a separate and distinct building for the purpose of determining area limitations, continuity of fire walls, limitation of number of stories and type of construction, when all of the following conditions are met:
1.
The basement first story above grade plane is of Type IA construction and is separated from the building above with a horizontal assembly having a minimum 3-hour fire resistance rating. Openings in the horizontal assembly having a minimum 3-hour fire-resistance rating shall be protected by shaft, stairway, ramp or escalator enclosures extending above and below such openings. The walls of such enclosures shall have not less than a 2-hour fire-resistance rating and openings therein shall be protected by opening protectives having a minimum 1 ½-hour fire-protection rating.
Exception: Where the walls of such enclosures extending below the horizontal assembly having a minimum 3-hour fire-resistance rating to the foundation are provided with a fire-resistance rating of not less than 3 hours with openings therein protected as required for walls forming a 3-hour fire barrier, the enclosure walls extending above such floor used as the horizontal assembly having a minimum 3-hour fire-resistance rating shall be permitted to have a 1-hour fire-resistance rating provided:
1.
The building above is not required to be of Type I construction; and
2.
The enclosure walls do not enclose an exit stairway, a ramp or an escalator required to have enclosure walls with not less than a 2-hour fire-resistance rating.
3.
The building above the horizontal assembly having a minimum 2-hour fire-resistance rating contains only Groups A having an assembly room with an occupant load of less than 300, B, M or R and
4.
The building below the horizontal assembly having a minimum 3-hour fire-resistance rating is a Group S-2 enclosed parking garage, used exclusively for the parking and storage of private motor vehicles.
Exceptions:
1.
Entry lobbies, mechanical rooms and similar uses incidental to the operation of the building shall be permitted.
2.
Groups A having an assembly room with an occupant load of less than 300, B and M shall be permitted in addition to those uses incidental to the operation of the building (including storage areas), provided that the entire structure below the horizontal assembly having a minimum 3-hour fire-resistance rating is protected throughout by an approved automatic sprinkler system.
3.
4.
The maximum building height in feet shall not exceed the limits set forth in Table 503 for the least restrictive type of construction involved.
508.3 Group S-2 enclosed parking garage with Group S-2 open parking garage above. A Group S-2 enclosed parking garage located in the basement or first story below a Group S-2 open parking garage shall be classified as a separate and distinct building for the purpose of determining the type of construction when the following conditions are met:
1.
The allowable area of the structure shall be such that the sum of the ratios of the actual area divided by the allowable area for each separate occupancy shall not exceed 1.0.
2.
The Group S-2 enclosed parking garage is of Type I or II construction and is at least equal to the fire-resistance requirements of the Group S-2 Open Parking Garage.
3.
The height and the number of the floors above the basement shall be limited as specified in Table 406.3.1.
4.
The floor assembly separating the Group S-2 enclosed parking garage and Group S-2 open parking garage shall be protected as required for the floor assembly of the Group S-2 enclosed parking garage. Openings between the Group S-2 enclosed parking garage and Group S-2 open parking garage, except exit openings, shall not be required to be protected.
5.
The Group S-2 enclosed parking garage is used exclusively for the parking or storage of private motor vehicles, but shall be permitted to contain an office, waiting room and toilet room having a total area of not more than 1,000 square feet (93 m 2 ), and mechanical equipment rooms incidental to the operation of the building.
508.4 Special unlimited height for Groups B, M and R. The height of Group B, M and R buildings of Type IB construction shall not be limited, provided the fire resistance of columns shall be not less than 3 hours and the other structural members, including floors, shall be not less than that shown in Chapter 6, but in no case less than 2 hours, except that roofs and their supporting beams, girders, trusses and arches shall be not less than 1 ½ hours.
508.5 Parking beneath Group R. Where a maximum one-story above grade plane Group S-2 parking garage, enclosed or open, or combination thereof, of Type I construction or open of Type IV construction, with grade entrance, is provided under a building of Group R, the number of stories to be used in determining the minimum type of construction may be measured from the floor above such a parking area. The floor assembly between the parking garage and the Group R above shall comply with the type of construction required for the parking garage and shall also provide a fire-resistance rating not less than the mixed occupancy separation required in Section 302.3.3.
508.6 Group R-2 buildings of Type IIIA construction. The height limitation for buildings of Type IIIA construction in Group R-2 shall be increased to six stories and 75 feet (22 860 mm) where the first floor construction above the basement has a fire-resistance rating of not less than 3 hours and the floor area is subdivided by 2-hour fire-resistance-rated fire walls into areas of not more than 3,000 square feet (279 m 2 ).
508.7 Group R-2 buildings of Type IIA construction. The height limitation for buildings of Type IIA construction in Group R-2 shall be increased to nine stories and 100 feet (30 480 mm) where the building is separated by not less than 50 feet (15 240 mm) from any other building on the lot and from property lines, the exits are segregated in an area enclosed by a 2-hour fire-resistance-rated fire wall and the first floor construction has a fire resistance rating of not less than 1½ hours.
508.8 Open parking garage beneath Groups A, I, B, M and R. Open parking garages constructed under Groups A, I, B, M and R shall not exceed the height and area limitations permitted under Section 406.3. The height and area of the portion of the building above the open parking garage shall not exceed the limitations in Section 503 for the upper occupancy. The height, in both feet and stories, of the portion of the building above the open parking garage shall be measured from grade plane and shall include both the open parking garage and the portion of the building above the parking garage.
508.8.1 Fire separation. Fire separation assemblies between the parking occupancy and the upper occupancy shall correspond to the required fire-resistance rating prescribed in Table 302.3.3 for the uses involved. The type of construction shall apply to each occupancy individually, except that structural members, including main bracing within the open parking structure, which is necessary to support the upper occupancy, shall be protected with the more restrictive fire-resistive assemblies of the use groups involved as shown in Table 601. Means of egress for the upper occupancy shall conform to Chapter 10 and shall be separated from the parking occupancy by fire barriers having at least a 2-hour fire-resistance rating as required by Section 706, with self-closing doors complying with Section 714. Means of egress from the open parking garage shall comply with Section 406.3.
(Ord. No. 2002-13, § 1, 7-9-2002; Ord. No. 2004-20, § 2, 9-14-2004)
No building or structure shall be erected and no use shall be established unless upon a lot of record as defined by these regulations except as otherwise provided herein.
Only one principal building and its accessory buildings may be erected on any one lot of record; provided, however, that more than one dwelling, office, institutional, commercial or industrial building may be located upon a lot, subject to setbacks and separation as provided in these regulations.
(Ord. No. 2022-02, § 1, 1-11-2022)
Editor's note— Ord. No. 2002-13, § 2, adopted July 9, 2002, repealed Section 410, in its entirety. Former Section 410 pertained to separation between principal buildings and derived from a Res. adopted March 11, 1997.
(a)
In the general commercial district and the industrial district, no building or structure other than driveways, parking lots, fences and signs shall hereafter be erected which is located closer than 30 feet to any public right-of-way or closer than ten feet to any property line.
(b)
In all zoning districts, except multifamily housing and the industrial district, no building or structure other than driveways, parking lots or fences shall hereafter be erected which is located closer than 30 feet to the rear and side property lines.
(c)
Except as provided in (d) below, in all zoning districts, except the general commercial district and the industrial district, no building or structure other than driveways, parking lots or fences shall hereafter be erected which is located closer than 70 feet to the centerline of any road right of way, or 30 feet from the front property line, whichever is greater.
(d)
In all zoning districts, except the general commercial district and the industrial district, if the property fronts on a paved roadway with a dedicated road right of way of 60 feet or more, no building or structure other than driveways, parking lots or fences shall hereafter be erected which is located closer than 30 feet from the front property line.
(Res. No. 2000-05, § 1, 2-8-2000; Ord. No. 2003-12, § 1, 4-8-2003; Ord. No. 2004-21, § 1, 9-14-2004; Ord. No. 2022-02, § 2, 1-11-2022)
In R1 zones, accessory buildings and structures shall be located only in the side or rear yards.
(Ord. No. 2024-27, § 1, 5-14-2024)
No lot shall hereafter be created which does not contain a minimum lot size of two acres; provided, however, that lots for nonresidential development may be less than two acres subject to the approval of the Banks County Health Department. These requirements shall be in addition to any requirements contained in any Banks County subdivision regulations. For additional regulations regarding lot size, reference should be made to each individual zoning district.
(Ord. No. 2002-13, § 3, 7-9-2002; Ord. No. 2022-02, § 3, 1-11-2022)
No lot shall be reduced, divided or changed in size so that lot width, size of yards, lot area per dwelling unit or any other requirement of these regulations, or any other regulations applicable thereto, is not maintained, unless said reduction or division is necessary to provide land which is acquired for a public purpose.
The governing body is empowered to hear and decide appeals where it is alleged there is an error in any order, requirement, decision or determination made in the interpretation or enforcement of these zoning regulations or the policies and procedures ordinance; provided, however, that this section shall not apply to decisions on applications for rezoning, conditional use permits or variances. The governing body is empowered to hear an appeal made by any person, firm, or corporation, or by any officer, department, board or bureau affected by any decisions of any employee based on these regulations or the policies and procedures ordinance. Such appeal shall be taken within 60 days after the date of the action to which the appeal relates, and as provided by any rules of the governing body by filing with the zoning administrative officer notice of appeal specifying the grounds thereof. All papers constituting the record upon which the action to which the appeal relates was taken shall forthwith be transmitted to the governing body. The governing body shall select a reasonable time and place of the hearing of the appeal, shall give at least 15 days of public notice thereof, and shall render a decision on the appeal within a reasonable time. The appeal procedures set out herein are mandatory in regard to all matters to which they apply, and no person shall bring any action in any court relating to the validity, interpretation or enforcement of these regulations or the policies and procedures ordinance without first resorting to these administrative procedures, if applicable.
The governing body is hereby empowered to authorize upon application in specific cases such variance from the terms of these regulations as will not be contrary to the public interest where, owing to special conditions, a literal enforcement of the provisions of these regulations will, in an individual case, result in unnecessary hardship, so that the spirit of these regulations shall be observed, public safety and welfare secured, and substantial justice done. The existence of a nonconforming use or conditional use of neighboring land, buildings or structures in the same zoning district or of permitted uses, conditional uses or nonconforming uses in other zoning districts shall not constitute a reason for the requested variance. A variance may be granted in an individual case of unnecessary hardship, after appropriate application and public hearings in accordance with the policies and procedures ordinance, upon specific findings that all of the following conditions exist, with the absence of any one of the conditions being grounds for denial of the application for variance:
1.
There are extraordinary and exceptional conditions pertaining to the particular piece of property in question because of its size, shape or topography that are not applicable to other land or structures in the same district; and
2.
A literal interpretation of the provisions of these regulations would create an unnecessary hardship and would deprive the applicant of rights commonly enjoyed by other property owners within the district in which the property is located; and
3.
Granting the variance requested will not confer upon the property of the applicant any special privileges that are denied to other properties of the district in which the applicant's property is located; and
4.
Relief, if granted, will be in harmony with the purpose and intent of these regulations and will not be injurious to the neighborhood or the health or general welfare of the public in such a manner as will interfere with or discourage the appropriate development and use of other property or unreasonably affect its value; and
5.
The special circumstances are not the result of the actions of the applicant; and
6.
The variance requested is the minimum variance that will make possible the legal use of the land, building, or structure; and
7.
The variance is not a request to permit a use of land, building or structures which are not permitted by right in the district involved.
A home occupation as defined by these regulations shall conform to the following requirements:
1.
A maximum of one person not residing in the dwelling may be employed in connection with the home occupation. There is no limit on the number of other employees, provided that they reside within the dwelling on the premises.
2.
The home occupation shall be clearly incidental and secondary to the residential use of the dwelling and lot and shall not change the residential character of the building, lot, or neighborhood.
3.
No storage or display of products, equipment, customer vehicles or other items or other materials shall be visible from the adjoining street or adjacent properties.
4.
Vehicles used primarily as passenger vehicles shall be permitted in connection with the conduct of a home occupation, but only one commercial vehicle is permitted to be used per home occupation.
5.
No external alterations of the dwelling solely for the accommodation of a home occupation are permitted. No home occupation shall be conducted in a separate garage, barn, shop or other accessory building unless the home occupation is approved as a conditional use by the county commissioners.
6.
No chemical, electrical, or mechanical equipment shall be used in connection with the home occupation if it generates any noise, odor, environmental hazard or other nuisance which is detectible to any extent at the common boundary of the property and any neighboring properties. No such equipment shall be placed so as to be visible to any neighboring property or any public road.
7.
No business identification sign for a home occupation business shall be allowed in a R-1 or R-2 zoning district but in all other districts one non-illuminated business identification sign not exceeding 12 square feet shall be permitted.
8.
Use of a dwelling for a home occupation shall not exceed 25 percent of one floor of the principal dwelling. In addition to the other requirements of this section, home occupations shall be permitted, in whole or part, within accessory buildings only on lots of at least two acres and if a setback of 50 feet is maintained from each property line.
9.
A business license shall be obtained from Banks County prior to the operation of any home occupation. Said business license shall require approval by the zoning administrative officer.
10.
The following uses are allowable as home occupations (not all inclusive): tutoring, consultation and instruction in music, dance, arts, crafts and similar subjects limited to two students at one time; day care centers serving six or less persons; professional services (i.e., attorneys, architects, accountants, realtors, insurance and travel agents); secretarial services and answering services; mail order and general offices not involving storage of equipment, materials, products or vehicles; phone solicitations, beauty salons and barber shops limited to two operators/chairs; food catering).
11.
The following are conditional uses: cabinet shops and/or metal cutting; doctors, dentists or other medical professions; automobile body work; automobile repair or related work, and any other home occupation where an accessory building is to be built on or moved to the property for such use.
The failure of a home occupation licensee to comply with any of the above conditions shall be reasonable grounds for revocation of a home occupation business license.
All applicants for home occupations must appear before the Board of Commissioners of Banks County and only the Board of Commissioners of Banks County can approve a home occupation.
(Ord. No. 2004-11, § 1, 6-8-2004; Ord. No. 2022-13, § 1, 2-8-2022)
No fence, wall, sign, hedge or planting which obstructs the sight lines at elevations between two and 12 feet above any roadway shall be placed or permitted to remain on any corner lot within the triangular area formed by the street right-of-way lines, or such lines extended, and a line connecting such right-of-way lines at points 25 feet from the intersection of the right-of-way lines.
Except as otherwise expressly permitted, it shall be prohibited in all districts to park or continuously store abandoned, wrecked, junked or inoperable vehicles, power-driven construction equipment, used lumber or metal, or any other miscellaneous scrap material in quantity that is visible from a public street or adjacent or surrounding property. Said prohibition shall not be construed so as to prohibit the temporary repair or maintenance of automobiles owned by the property owner or the storage of such vehicles, equipment or other materials within an enclosed building, provided that such vehicles, equipment or materials are not for commercial sale. This section shall be construed to permit such vehicles or equipment, unless such use can be construed to be a junk/salvage yard or wrecked motor vehicle compound, if such vehicles and/or materials are not visible from a public street or surrounding property; that is, if screening is provided as defined by this Resolution. Existing junk/salvage yards and wrecked motor vehicle compounds qualifying as nonconforming uses shall have until July 1, 1992, to comply with the screening provisions of this section.
The ambient noise level of any given activity in any zoning district emanating from a given property shall not exceed the following maximum permitted decibels as measured from the closest property line of property located within an ARR or R-1 zoning district:
Note: The measurement of sound or noise shall be made with a sound level meter and octave band analyzer meeting the standards prescribed by the American Standards Association which is maintained in calibration and good working order.
Existing facilities and activities which exceed the permitted maximum sound pressure specified above shall, no later than July 1, 1992, institute or install suitable noise attenuation measures (reduction of activity, erection of barriers, etc.) so that noise levels no longer exceed the maximums herein established.
In cases where noise studies have been prepared by or for the governing body which document that a given facility or activity exceeds the maximum permitted sound pressure specified in this section on two or more separate days of measurement, and the period of conformity described above has elapsed, the governing body may institute whatever legal proceedings and remedies as may be provided by law to ensure compliance with the requirements of this section.
For the purposes of this chapter, a short-term rental (STR) shall be defined as the rental of any residential home or portion of any residential home to transient guests for a period of time no longer than 7 consecutive days.
A short-term rental as defined by these regulations shall conform to the following requirements:
1.
No person or entity shall rent all or any portion of a dwelling unit as short-term rental without first obtaining a short-term rental license pursuant to the regulations contained in this chapter. Such a license shall be valid for one year, renewable annually. Licenses are non-transferrable and should ownership change, a new application and fee will be required. Licenses are only effective at the location for which they are issued; each rental property must have its own separate license.
2.
Applicants for a short-term rental license shall submit, on an annual basis, an application for a short-term rental license to the Department of Planning and Zoning. The application shall be accompanied by a non-refundable application fee in the amount of $150.00. Such application should include:
a.
The address of the unit to be used as a short-term rental;
b.
Proof of ownership of the unit;
c.
Proof of homeowner's insurance;
d.
The maximum occupancy and parking limitations;
e.
The name, address, telephone number and email address of the short-term rental agent, which shall include 24-hour contact information;
f.
A signed acknowledgement that the owner or agent has reviewed this chapter and understands its requirements; and
g.
The agent's agreement to assure that use of the premises by short-term rental occupants will not disrupt the neighborhood and will not interfere with the rights of neighboring property owners to the quiet enjoyment of their properties.
3.
The owner of the rental residence or the rental agent must be available to handle any problems arising from use of the short-term rental unit; post emergency contact name and phone number in a readily visible place in the short-term rental unit; receive and accept responsibility of any notice of violation related to the use or occupancy of the premises; and monitor the short-term rental unit for compliance with this chapter.
4.
STRs must provide proof of registration with the Georgia State Department of Revenue as they shall be subject to applicable state and local taxes and are responsible for payment thereof as established by state law and the county code. Short-term rentals shall be subject to the hotel-motel tax for the furnishing of rooms as permitted under O.C.G.A. § 48-13-51.
5.
There shall be posted inside the unit a copy of the rental license as well as emergency contact information and rules of conduct to include maximum occupancy and maximum parking.
6.
Maximum occupancy for a short-term rental shall be two persons per bed plus with a maximum of four bunks, but no rental shall have a maximum occupancy greater than twelve. Maximum parking shall be limited to one car per bedroom plus one additional car per residence, but no maximum parking shall exceed six vehicles.
7.
All structures built for the purpose of short-term rental shall be built to the current international, state, and county codes for building, zoning, fire prevention, and health and sanitation and shall be required to be permitted and inspected as such. An operable interconnected, hard-wired smoke detection system, with battery backup, is required outside each bedroom. (In the case of registered nonconforming uses, an operable battery-operated smoke detector outside of each bedroom will be accepted.) Any units with LP or natural gas must have a carbon monoxide detection system as well.
8.
There shall be only one dwelling (primary or rental) per parcel. No vacation rentals may be operated out of any type of outbuilding or accessory structure.
9.
New rentals must meet the minimum requirement of 1,000 sq. ft. of heated space as outlined in Section 602(4) of this Code. Homes built prior to the 1,000 sq. ft. minimum may be considered for rentals. No tiny homes will be permitted. HUD approved manufactured homes of any size are allowable and may be considered for rentals.
10.
No recreational vehicles, no campers, no tents, nor any structures of a temporary nature may be used for short-term rentals.
11.
All new applications for short-term rentals/vacation rentals must be approved in a public hearing by the Board of Commissioners with a recommendation from the Planning Commission.
Violations of this chapter will be cited and are punishable by fine. Multiple citations may result in the suspension or revocation of a license.
Existing short-term rentals qualifying as nonconforming uses must register with the Planning and Zoning Department by 9/1/2024 to keep their nonconforming status. An STR in existence prior to this ordinance that is not registered as nonconforming will be treated as a new use and held to the criteria established by this chapter. Nonconforming licenses which have been relinquished or revoked shall not be reinstated.
(Ord. No. 2024-31, § 1, 5-14-2024)