Supplementary parking regulations.
A.
General provisions. In all zoning districts there shall be provided, in connection with appropriate allowable use, off-street vehicle parking space in connection with the following requirements. In any case where specific requirements result in a fraction of a parking space the next larger whole number of spaces shall be required.
B.
Certificate of occupancy. All land uses must provide paved parking areas at the time of the issuance of the certificate of occupancy. In situations that demonstrate unique and unusual circumstances, as determined by the zoning administrator, an administrative "one time" extension may be given for an additional six-month period.
C.
Off-street parking. shall mean all areas dedicated to parking and maneuvering that are located on site. Off-street parking will not be permitted in any street right-of-way.
D.
Schedule of minimum parking spaces.
E.
Locational requirements for "SF-1", "SF-2", "D" and "TH" districts. Unless a special exception is approved under section 35, board of adjustment, parking requirements in all "SF-1", "SF-2", "D", and "TH" districts shall be provided behind the required front yard except as provided in section 31, parking regulations. Also see subsection 29.G.1., supplementary district regulations.
F.
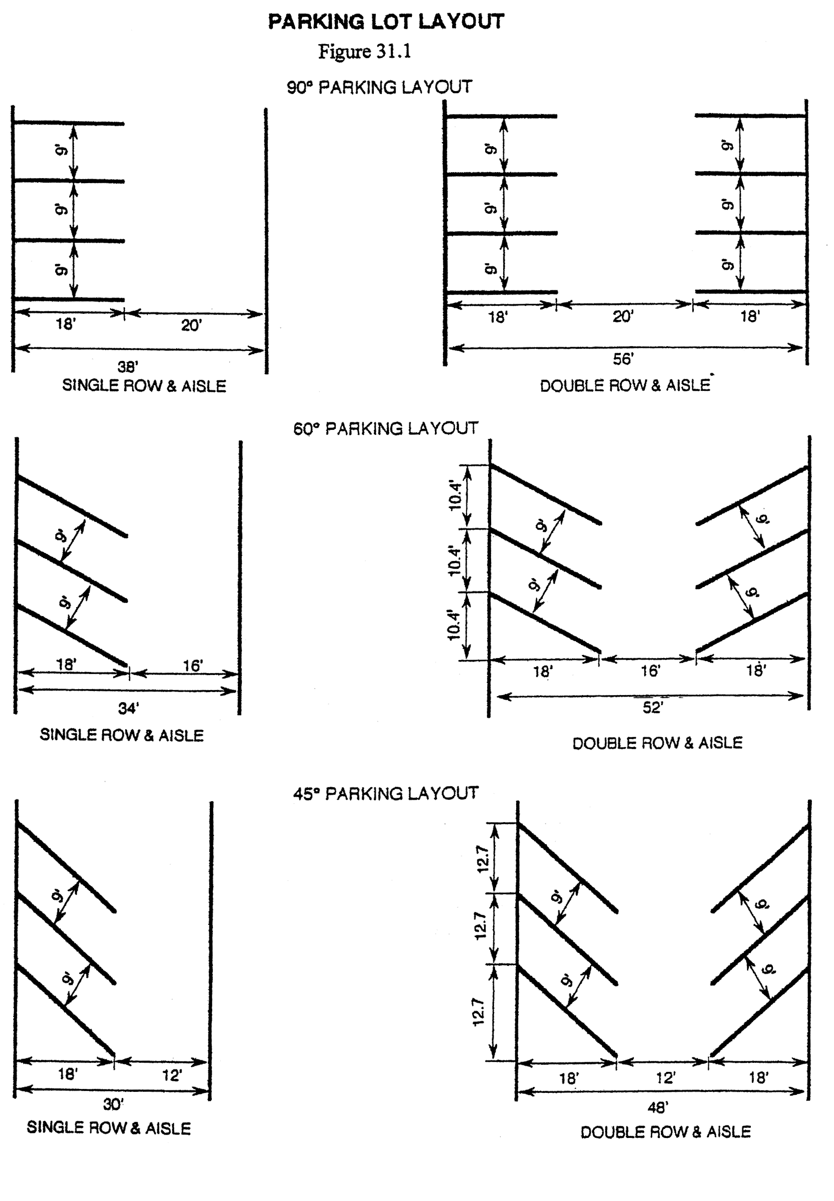
Requirements for off-street parking spaces. For the purpose of this section, an off-street parking space shall be a minimum of nine feet in width and 18 feet in length (see figure 31-1, which is incorporated in and made a part of this ordinance).
G.
Entrances, exits, and internal circulation in "MF-1", "MF-2", "O", "C-1", "C-2", "C-3", "C-4", "C-5", "M-1", "M-2" and "BP" districts. In non-residential districts, when driveways are less than 20 feet in width, separate marked entrances and exits shall be provided so that traffic shall flow in one direction only. Entrances and exits to an alley may be provided, if prior approval is obtained in writing from the city. When more than one aisle is provided, adequate internal circulation shall be provided between the aisles to allow movement between the aisles without using public right-of-way.
H.
Non-parking areas and maneuvering space. No parking shall be allowed in non-residential districts within an area measuring 18 feet square with one side of the square along a property line and a second side of the square along the width limit of a drive approach in any district. The above noted 18-foot square area of no parking shall be behind the property line and adjacent to the throat of a driveway. Attached hereto is figure 31-2 which is incorporated in and made a part of this ordinance. Maneuvering space shall be completely off the right-of-way of a public street, place or court.
I.
General parking surfaces. In all zoning districts, parking areas, vehicle maneuvering areas, loading areas, driveways and approaches for all uses, including one- and two-family dwellings, shall be a paved surface, unless otherwise specified in this ordinance. All parking requirements applying to a stated unit of measurement shall be understood to include a parking space for each unit or fraction thereof.
PARKING LOT LAYOUT
NON-PARKING AREAS
J.
Change in use. In non-residential zoning districts, when the occupancy of any building is changed to another use, parking shall be provided to meet the requirements of this section for the new use.
K.
Parking of major recreational vehicles in districts "SF-1" and "SF-2". No more than one major recreational vehicle, no longer than 35 feet shall be parked on property zoned "SF-1" or "SF-2", and no part of such major recreational vehicle, including any transport accessory, shall under any circumstances, extend into or upon any right-of-way or public access easement. The parking area for a major recreational vehicle shall be a paved surface, unless the parking area is located behind the front yard setback and is completely screened from view. The vehicle and transport accessory must be totally operational and ready for use. No such equipment shall be used for living, sleeping or housekeeping purposes when parked or stored on a residential lot or any location not approved for such use. Recreational vehicles shall be parked "head-in" or "back-in" and shall not be parked parallel to the front property line except for 24 hours for the express purposes of loading and unloading.
Camping trailers and motor homes, pickup campers, boats and recreational vehicles shall not be placed within the front yard setback except on a paved surface driveway or pad.
L.
Parking and storage of certain vehicles in residential districts. In all residential zoning districts, automotive vehicles or trailers of any kind or type without current license plates shall not be parked or stored on any property unless such automotive vehicles or trailers are completely screened up to eight feet in height with an approved screening device. Neither a paved surface nor an all-weather hard surface is required when such automotive vehicles or trailers are completely screened with an approved screening device and located behind the residential structure or in the side yard setback. Parking or storage of all licensed trailers shall conform to the requirements of major recreational equipment. Notwithstanding anything contained in this ordinance to the contrary, all automotive vehicles or trailers of any kind shall be parked on a paved surface.
M.
Parking of commercial vehicles on non-residentially zoned property. No truck tractor, road tractor, semi-trailer, tractor-trailer, or similar vehicle with a manufacturer's classification or a licensed registered weight shall be parked in front or behind the building line of any non-residentially zoned property except "M-1" and "M-2" industrial zoned districts unless said vehicle is used in conjunction with a permitted use located on the lot.
N.
Parking of commercial vehicles on residentially zoned property. In all residential districts, no commercial vehicle, with the exception of those used in performing a service to the adjacent residence, shall be parked in front of the building line of any residentially zoned property or in any street or public right-of-way adjacent to any residentially zoned property. Additionally, no truck tractor, road tractor, tractor trailer, semi-trailer, or similar vehicle shall be parked in front of or behind the building line of any residentially zoned property.
O.
Parking areas that utilize rights-of-way. In non-residential districts, parking areas which would require the use of public rights-of-way for maneuvering shall not be acceptable for the furnishing of required off-street parking spaces other than for one- and two-family dwellings. Parking parallel to the curb on a public street shall not be substituted for off-street requirements. Parking is limited to private property; the use of rights-of-way area between the property line and the back of the curb is contrary to this ordinance.
P.
Loading and unloading requirements. In non-residential districts, all business uses shall provide and maintain off-street facilities for the loading and unloading of merchandise and goods within the building or on the lot adjacent to a public alley or private service drive to facilitate the movement of traffic on the public street in addition to other parking requirements. Loading and unloading zone must be distinct from drive lane. Portions of the drive lane are not included as part of the loading and unloading zone. Such space shall consist of a minimum area of ten feet by 25 feet and be provided as follows:
Nothing in this section shall require the furnishing of additional parking spaces for existing buildings which are not enlarged or changed to a new use.
Q.
Parking of major recreational vehicles in a street or public right-of-way. In all residential districts, major recreational vehicles shall not be parked in any street or public right-of-way for a period exceeding 24 hours with the express purpose being for loading or unloading operations.
R.
Handicapped parking spaces. In each parking facility in districts, "TH", "MF-1", "MF-2", "O", "C-1", "C-2", "C-3", "C-4", "C-5", "M-1", "M-2", and "BP" a portion of the total parking shall be specifically designed, located, and reserved for vehicles licensed by the state for use by the handicapped. These spaces will be provided according to the following schedule:
Each parking space designated for use by the handicapped shall consist of a rectangular area not less than 13 feet wide by 18 feet long, with a vertical clearance of 7.5 feet, shall be located in an area not exceeding two percent slope, and shall be located near and convenient to a level or ramped entrance accessible to handicapped persons. Parking spaces for the handicapped shall be signed in accordance with state law and restricted for use by the handicapped only.
S.
Parking of vehicles for the purpose of sale. No vehicle shall be parked on any property within the city for the principal purpose of displaying such vehicle for sale except:
1.
On a property that is zoned and licensed for vehicle sales; or
2.
On residentially zoned property not more than one vehicle may be displayed for sale at any time if such vehicle is owned by a resident on the residential premises.
There shall be a rebuttable presumption that a vehicle is parked for the principal purpose of displaying said vehicle for sale if it is parked in such a location with a "for sale" sign or other indication that the vehicle is for sale.
T.
Parking facilities shall meet the following safety standards.
1.
Safety barriers, protective bumpers or curbing shall be provided to prevent encroachment onto adjoining public or private property.
2.
Visibility of and between pedestrians, bicyclists, and motorists shall be assured when entering individual parking spaces, when circulating within a parking facility, and when entering and exiting a parking facility.
3.
Internal circulation patterns, and the location and traffic direction of all access drives, shall be designed and maintained in accordance with accepted principles of traffic engineering and traffic safety.
U.
Lighting. Lights provided to illuminate any parking facility or paved area shall, to the maximum extent feasible, be designed to reflect away from any residential use, and shall not cause glare to traffic on a public roadway.
V.
Fencing and screening. A parking facility in any non-residential district which adjoins or abuts property in an "SF-1" single family district, "SF-2" single family district, "D" duplex district, or a "PD" planned development district for residential uses, shall have a wall or privacy fence that is not less than six feet and no more than eight feet in height located for the length of the common property line. However, such a fence shall not be required within the front or exterior setback area of the nonresidential use.
W.
Noise. Areas used for primary circulation, for frequent idling of vehicle engines, or for loading activities shall be designed and located to minimize impacts on adjoining properties, including provisions for screening or sound reduction.
X.
Maintenance. All parking and loading facilities shall be maintained to assure desirability and usefulness of the facility. Such facilities shall be maintained free of refuse, debris, or other accumulated matter and shall at all times be available for the off-street parking or loading use for which they are required or intended.
Y.
Drainage. All parking facilities shall be graded and provided with permanent storm drainage facilities, meeting the construction specifications set by the city engineer.
(Ord. No. O-2015-007-15, § 1, 6-8-15; Ord. No. O-2015-020-15, § 4, 10-12-15; Ord. No. O-2016-011-15, § 7, 6-27-16; Ord. No. O-2016-024-15, § 3, 11-28-16)
Supplementary parking regulations.
A.
General provisions. In all zoning districts there shall be provided, in connection with appropriate allowable use, off-street vehicle parking space in connection with the following requirements. In any case where specific requirements result in a fraction of a parking space the next larger whole number of spaces shall be required.
B.
Certificate of occupancy. All land uses must provide paved parking areas at the time of the issuance of the certificate of occupancy. In situations that demonstrate unique and unusual circumstances, as determined by the zoning administrator, an administrative "one time" extension may be given for an additional six-month period.
C.
Off-street parking. shall mean all areas dedicated to parking and maneuvering that are located on site. Off-street parking will not be permitted in any street right-of-way.
D.
Schedule of minimum parking spaces.
E.
Locational requirements for "SF-1", "SF-2", "D" and "TH" districts. Unless a special exception is approved under section 35, board of adjustment, parking requirements in all "SF-1", "SF-2", "D", and "TH" districts shall be provided behind the required front yard except as provided in section 31, parking regulations. Also see subsection 29.G.1., supplementary district regulations.
F.
Requirements for off-street parking spaces. For the purpose of this section, an off-street parking space shall be a minimum of nine feet in width and 18 feet in length (see figure 31-1, which is incorporated in and made a part of this ordinance).
G.
Entrances, exits, and internal circulation in "MF-1", "MF-2", "O", "C-1", "C-2", "C-3", "C-4", "C-5", "M-1", "M-2" and "BP" districts. In non-residential districts, when driveways are less than 20 feet in width, separate marked entrances and exits shall be provided so that traffic shall flow in one direction only. Entrances and exits to an alley may be provided, if prior approval is obtained in writing from the city. When more than one aisle is provided, adequate internal circulation shall be provided between the aisles to allow movement between the aisles without using public right-of-way.
H.
Non-parking areas and maneuvering space. No parking shall be allowed in non-residential districts within an area measuring 18 feet square with one side of the square along a property line and a second side of the square along the width limit of a drive approach in any district. The above noted 18-foot square area of no parking shall be behind the property line and adjacent to the throat of a driveway. Attached hereto is figure 31-2 which is incorporated in and made a part of this ordinance. Maneuvering space shall be completely off the right-of-way of a public street, place or court.
I.
General parking surfaces. In all zoning districts, parking areas, vehicle maneuvering areas, loading areas, driveways and approaches for all uses, including one- and two-family dwellings, shall be a paved surface, unless otherwise specified in this ordinance. All parking requirements applying to a stated unit of measurement shall be understood to include a parking space for each unit or fraction thereof.
PARKING LOT LAYOUT
NON-PARKING AREAS
J.
Change in use. In non-residential zoning districts, when the occupancy of any building is changed to another use, parking shall be provided to meet the requirements of this section for the new use.
K.
Parking of major recreational vehicles in districts "SF-1" and "SF-2". No more than one major recreational vehicle, no longer than 35 feet shall be parked on property zoned "SF-1" or "SF-2", and no part of such major recreational vehicle, including any transport accessory, shall under any circumstances, extend into or upon any right-of-way or public access easement. The parking area for a major recreational vehicle shall be a paved surface, unless the parking area is located behind the front yard setback and is completely screened from view. The vehicle and transport accessory must be totally operational and ready for use. No such equipment shall be used for living, sleeping or housekeeping purposes when parked or stored on a residential lot or any location not approved for such use. Recreational vehicles shall be parked "head-in" or "back-in" and shall not be parked parallel to the front property line except for 24 hours for the express purposes of loading and unloading.
Camping trailers and motor homes, pickup campers, boats and recreational vehicles shall not be placed within the front yard setback except on a paved surface driveway or pad.
L.
Parking and storage of certain vehicles in residential districts. In all residential zoning districts, automotive vehicles or trailers of any kind or type without current license plates shall not be parked or stored on any property unless such automotive vehicles or trailers are completely screened up to eight feet in height with an approved screening device. Neither a paved surface nor an all-weather hard surface is required when such automotive vehicles or trailers are completely screened with an approved screening device and located behind the residential structure or in the side yard setback. Parking or storage of all licensed trailers shall conform to the requirements of major recreational equipment. Notwithstanding anything contained in this ordinance to the contrary, all automotive vehicles or trailers of any kind shall be parked on a paved surface.
M.
Parking of commercial vehicles on non-residentially zoned property. No truck tractor, road tractor, semi-trailer, tractor-trailer, or similar vehicle with a manufacturer's classification or a licensed registered weight shall be parked in front or behind the building line of any non-residentially zoned property except "M-1" and "M-2" industrial zoned districts unless said vehicle is used in conjunction with a permitted use located on the lot.
N.
Parking of commercial vehicles on residentially zoned property. In all residential districts, no commercial vehicle, with the exception of those used in performing a service to the adjacent residence, shall be parked in front of the building line of any residentially zoned property or in any street or public right-of-way adjacent to any residentially zoned property. Additionally, no truck tractor, road tractor, tractor trailer, semi-trailer, or similar vehicle shall be parked in front of or behind the building line of any residentially zoned property.
O.
Parking areas that utilize rights-of-way. In non-residential districts, parking areas which would require the use of public rights-of-way for maneuvering shall not be acceptable for the furnishing of required off-street parking spaces other than for one- and two-family dwellings. Parking parallel to the curb on a public street shall not be substituted for off-street requirements. Parking is limited to private property; the use of rights-of-way area between the property line and the back of the curb is contrary to this ordinance.
P.
Loading and unloading requirements. In non-residential districts, all business uses shall provide and maintain off-street facilities for the loading and unloading of merchandise and goods within the building or on the lot adjacent to a public alley or private service drive to facilitate the movement of traffic on the public street in addition to other parking requirements. Loading and unloading zone must be distinct from drive lane. Portions of the drive lane are not included as part of the loading and unloading zone. Such space shall consist of a minimum area of ten feet by 25 feet and be provided as follows:
Nothing in this section shall require the furnishing of additional parking spaces for existing buildings which are not enlarged or changed to a new use.
Q.
Parking of major recreational vehicles in a street or public right-of-way. In all residential districts, major recreational vehicles shall not be parked in any street or public right-of-way for a period exceeding 24 hours with the express purpose being for loading or unloading operations.
R.
Handicapped parking spaces. In each parking facility in districts, "TH", "MF-1", "MF-2", "O", "C-1", "C-2", "C-3", "C-4", "C-5", "M-1", "M-2", and "BP" a portion of the total parking shall be specifically designed, located, and reserved for vehicles licensed by the state for use by the handicapped. These spaces will be provided according to the following schedule:
Each parking space designated for use by the handicapped shall consist of a rectangular area not less than 13 feet wide by 18 feet long, with a vertical clearance of 7.5 feet, shall be located in an area not exceeding two percent slope, and shall be located near and convenient to a level or ramped entrance accessible to handicapped persons. Parking spaces for the handicapped shall be signed in accordance with state law and restricted for use by the handicapped only.
S.
Parking of vehicles for the purpose of sale. No vehicle shall be parked on any property within the city for the principal purpose of displaying such vehicle for sale except:
1.
On a property that is zoned and licensed for vehicle sales; or
2.
On residentially zoned property not more than one vehicle may be displayed for sale at any time if such vehicle is owned by a resident on the residential premises.
There shall be a rebuttable presumption that a vehicle is parked for the principal purpose of displaying said vehicle for sale if it is parked in such a location with a "for sale" sign or other indication that the vehicle is for sale.
T.
Parking facilities shall meet the following safety standards.
1.
Safety barriers, protective bumpers or curbing shall be provided to prevent encroachment onto adjoining public or private property.
2.
Visibility of and between pedestrians, bicyclists, and motorists shall be assured when entering individual parking spaces, when circulating within a parking facility, and when entering and exiting a parking facility.
3.
Internal circulation patterns, and the location and traffic direction of all access drives, shall be designed and maintained in accordance with accepted principles of traffic engineering and traffic safety.
U.
Lighting. Lights provided to illuminate any parking facility or paved area shall, to the maximum extent feasible, be designed to reflect away from any residential use, and shall not cause glare to traffic on a public roadway.
V.
Fencing and screening. A parking facility in any non-residential district which adjoins or abuts property in an "SF-1" single family district, "SF-2" single family district, "D" duplex district, or a "PD" planned development district for residential uses, shall have a wall or privacy fence that is not less than six feet and no more than eight feet in height located for the length of the common property line. However, such a fence shall not be required within the front or exterior setback area of the nonresidential use.
W.
Noise. Areas used for primary circulation, for frequent idling of vehicle engines, or for loading activities shall be designed and located to minimize impacts on adjoining properties, including provisions for screening or sound reduction.
X.
Maintenance. All parking and loading facilities shall be maintained to assure desirability and usefulness of the facility. Such facilities shall be maintained free of refuse, debris, or other accumulated matter and shall at all times be available for the off-street parking or loading use for which they are required or intended.
Y.
Drainage. All parking facilities shall be graded and provided with permanent storm drainage facilities, meeting the construction specifications set by the city engineer.
(Ord. No. O-2015-007-15, § 1, 6-8-15; Ord. No. O-2015-020-15, § 4, 10-12-15; Ord. No. O-2016-011-15, § 7, 6-27-16; Ord. No. O-2016-024-15, § 3, 11-28-16)