PERFORMANCE STANDARDS[19]
State Law reference— Environmental control, F.S. ch. 403.
(a)
All uses and activities permitted as a use by right, conditional use, special exception, or special permit in any district shall conform to the standards of performance in this article and shall be so constructed, maintained, and operated so as not to be injurious or offensive to the occupants of adjacent premises by reason of the emission or creation of noise, vibration, smoke, dust or other particulate matter, toxic or noxious waste materials, odors, fire and explosive hazard or glare.
(b)
The regulations and requirements of this article are intended to enhance the residential character of the town and the health, safety and general welfare of the residents of the town.
(c)
The regulations in this division shall apply to all zoning districts unless an exception is specifically noted.
(Code 1992, § 27-1676; Ord. No. 10-88, §§ 620.1, 620.2, 620.3.A, 3-1-1988)
No emission of odorous gases or other odorous material in such quantity as to be offensive at the lot lines or beyond shall be permitted.
(Code 1992, § 27-1682; Ord. No. 10-88, § 620.3.C, 3-1-1988)
Any operation producing intense glare or heat shall be performed within a completely enclosed building so that no operation will produce heat or glare beyond the property line of the lot on which the operation is located.
(Code 1992, § 27-1683; Ord. No. 10-88, § 620.3.D, 3-1-1988)
No activity involving ionizing radiation shall be permitted which will cause radiation at any point on or beyond any lot line in excess of limits contained in United States Atomic Energy Commission Rules and Regulations, Title 10, Part 20, Code of Federal Regulations.
(Code 1992, § 27-1684; Ord. No. 10-88, § 620.3.E, 3-1-1988)
Every use shall be so operated that the ground vibrations inherently and recurrently generated are not perceptible without instruments at any point on or beyond any lot line on which the use is located.
(Code 1992, § 27-1685; Ord. No. 10-88, § 620.3.F, 3-1-1988)
Every use shall be so operated as to prevent the emission of smoke, from any source whatsoever, to a density greater than described as Number 1 on the Ringelmann Chart; provided, however, that smoke equal to, but not in excess of, that shade of appearance described as Number 2 on the Ringelmann Chart may be emitted for a period or periods totaling four minutes in any 30 minutes. For the purpose of grading the density of smoke, the Ringelmann Chart as published and used by the United States Bureau of Mines, and which is hereby made, by reference, as part of this chapter, shall be the standard. All measurements shall be at the point of emission.
(Code 1992, § 27-1686; Ord. No. 10-88, § 620.3.G, 3-1-1988)
Every use shall be so operated as to prevent the emission into the air of dust or other solid matter, which may cause damage to property or discomfort to persons or animals at or beyond the lot line of the property on which the use is located.
(Code 1992, § 27-1687; Ord. No. 10-88, § 620.3.H, 3-1-1988)
No use shall for any period of time discharge any toxic or noxious matter in such concentration as to be detrimental to or endanger the public health, safety, comfort or welfare or cause injury or damage to property or businesses.
(Code 1992, § 27-1688; Ord. No. 10-88, § 620.3.I, 3-1-1988)
All industrial activities shall be carried on in such a manner and with such precautions against fire and explosion hazards as to produce no explosion hazard to a use on adjacent property. Storage of combustible materials shall be in compliance with all building and fire prevention codes. Materials or products which produce flammable or explosive vapors under ordinary weather temperatures shall be adequately safeguarded.
(Code 1992, § 27-1689; Ord. No. 10-88, § 620.3.J, 3-1-1988)
State Law reference— Fire prevention and control, F.S. ch. 633.
No discharge at any point into any private sewage disposal system or stream or into the ground of any materials in any such way or of such nature or temperature as can contaminate any water supply or otherwise cause the emission of dangerous or objectionable elements shall be permitted except in accordance with approved standards. No accumulation of solid waste conducive to the breeding of rodents or insects shall be permitted and no materials or wastes shall be deposited upon any lot in such form or manner as may be transferred off of that lot by natural causes or forces. Effluent from a treatment plant shall at all times comply with the following standards:
(1)
Maximum quantity of effluent shall be ten percent of the minimum daily stream flow.
(2)
Maximum five-day biochemical oxygen demand shall be five parts per million.
(3)
Maximum five-day biochemical oxygen demand after dilution (BOD of effluent multiplied by quantity divided by quantity of stream flow) shall be 0.25 parts per million.
(4)
Maximum total solids shall be 5,000 parts per million.
(5)
Maximum phenol shall be 0.01 parts per million.
(6)
No effluent shall contain any other acids, oils, dusts, toxic metals, corrosive or other toxic substances in solution or suspension which would create odor, poison, or otherwise pollute the stream in violation of the applicable laws of the state.
(Code 1992, § 27-1690; Ord. No. 10-88, § 620.3.K, 3-1-1988)
No activities shall be permitted (except domestic household appliance use) which produce electromagnetic interference in excess of prescribed standards of the Federal Communications Commission.
(Code 1992, § 27-1691; Ord. No. 10-88, § 620.3.L, 3-1-1988)
Unless specifically provided herein, this division shall apply to development applications for all site plan, planned unit development, and special exception applications (including modifications or amendments), which have the effect of permitting the development of land.
(Code 1992, § 27-1701; Ord. No. 10-88, § 201, 3-1-1988; Ord. No. 16-89, § 1(201), 3-7-1989; Ord. No. 25-08, § 2, 10-21-2008)
It is the intent of this division to establish traffic performance standards for town major thoroughfares, together with guideline criteria and procedures for guiding and controlling growth consistent with maintenance of the adopted levels of service standards. For the purpose of evaluating the state- and county-maintained roadway facilities, including intersections, applicants should refer to the Palm Beach County's Traffic Performance Standards.
(Code 1992, § 27-1702; Ord. No. 10-88, § 620.4.1, 3-1-1988; Ord. No. 16-89, § 2(620.4.1), 3-7-1989; Ord. No. 25-08, § 2, 10-21-2008)
The general standard applicable within the town is that all major thoroughfares serving proposed and/or existing developments within the town shall not exceed the adopted levels of service standards for traffic as established hereafter in this division. The adopted level of service standards shall be maintained throughout the build-out period.
(1)
The established standard for major thoroughfares is level of service C for average daily conditions, and level of service D for peak season, peak hour two-way traffic conditions. The level of service volume standards on both daily and peak hour two-way traffic for town major thoroughfares shall be as set forth in the applicable transportation element tables, as contained in the most current adopted and published comprehensive plan of the town.
(2)
If either daily traffic or peak season, peak period two-way traffic exceeds the adopted level of service volume standards as set forth in the town's comprehensive plan for town major thoroughfares during the build-out period of the development, the town shall not approve the development unless and until link and/or intersection improvements are made such that the adopted level of service volume standards can be achieved, except as specifically provided in the division.
(3)
If a development is determined to have a significant impact on a link as defined in section 27-3277, the intersections at each end of the link shall be analyzed if:
a.
The intersection is signalized or if projected traffic volumes warrant a signal;
b.
An approach to an intersection has reached 50 percent of peak hour two-way LOS D service volume; or
c.
The average of the approach volume to the peak hour two-way LOS D service volume ratio reaches 30 percent.
A detailed intersection analysis shall be performed using the Highway Capacity Manual (HCM) Operational Analysis to determine if the average intersection delay is less than or equal to 55 seconds per vehicle for signalized intersections and 35 seconds per vehicle for (two-way or all-way) stop-controlled intersections during peak season, peak hours. An applicant may make intersection improvements to reduce the average intersection delay to 55 seconds per vehicle or less for signalized intersections, or 35 seconds per vehicle or less for the unsignalized intersections.
(4)
In using the HCM Operational Analysis to determine the intersection delay and level of service, an applicant shall use the defaulted input values for HCM intersection analysis listed in Tables 1 and 2 contained in section 27-3282 herein.
(5)
For any critical movement with a volume of 75 vph or higher in the intersection analysis, the volume to capacity (V/C) ratio should not exceed 1.0, and the level of service shall be maintained at level of service E or better. If it is not possible to adjust the signal timing to meet this requirement, then the average delay on the roadway approaches with less total approach volumes must not exceed 120 percent of the average delay on the intersecting roadway approaches. This signal timing adjustment should be implemented without further downgrading the overall intersection performance below the adopted level of service.
(Code 1992, § 27-1703; Ord. No. 10-88, § 620.4.2, 3-1-1988; Ord. No. 16-89, § 2(620.4.2), 3-7-1989; Ord. No. 25-08, § 2, 10-21-2008)
A development shall be deemed to have the following levels of impact on a thoroughfare based on the assigned traffic from the proposed development on roadway links within the radius of development influence, as determined using the trip generation rates listed in section 27-3282.
(1)
Insignificant impact. Any proposed development shall be deemed to have insignificant impact, provided the number of trips generated by the development, as determined using the trip generation rates listed in section 27-3282, meet the following conditions:
a.
A new residential or nonresidential development, which generates no more than five gross peak hour trips and 50 gross AADT trips;
b.
An amendment to a previously approved development in which the total development, including the proposed amendment, generates no more than five gross peak hour trips and 50 gross AADT trips; and
c.
Redevelopment which generates no more than five net peak hour trips and 50 net AADT trips.
(2)
De minimis traffic impact. A development shall be deemed to have de minimis impact if the number of trips generated by the proposed development is less than or equal to one percent of the AADT at level of service C and peak hour two-way traffic at level of service D on the roadway links directly accessed by the development. Developments that fall in this category shall contain all calculations in the traffic impact study relied upon by the applicant to prove that the proposed development has a de minimis impact.
(3)
Significant impact. A development shall be deemed to have a significant impact if the number of trips generated by the proposed development is more than one percent of the AADT at level of service C or peak hour two-way traffic at level of service D on the roadway links directly accessed by the development. Developments that fall within this category shall also contain a traffic impact study as required by section 27-3278.
(Code 1992, § 27-1704; Ord. No. 10-88, § 201, 3-1-1988; Ord. No. 16-89, § 1(201), 3-7-1989; Ord. No. 25-08, § 2, 10-21-2008)
(a)
A traffic impact study shall be required for any development, except a development with insignificant impact as set forth in section 27-3277(1).
(b)
Traffic impact studies shall be conducted by a qualified engineer to determine whether any of the major thoroughfares within the radius of development influence exceed the adopted level of service standards during the build-out period of the development.
(c)
In determining the effect of a development on adopted level of service standards, the traffic impact study shall address the following areas:
(1)
Traffic characteristics and levels of service of existing major thoroughfares directly affected by the development.
(2)
Trip generations and origin, destination projections for the development.
(3)
Impacts of the development on affected major thoroughfares, including level of service.
(4)
Impacts of previously approved developments affecting the same major thoroughfares as the proposed development.
(5)
Radius of development influence.
(6)
Effects upon roadway alterations anticipated in the proposed development, including, but not limited to, intersection improvements, turn lanes, signalization, medians, and other improvements.
(7)
Highway and intersection design capacities.
(Code 1992, § 27-1705; Ord. No. 10-88, § 620.4.3, 3-1-1988; Ord. No. 16-89, § 2(620.4.3), 3-7-1989; Ord. No. 25-08, § 2, 10-21-2008)
The following methods of evaluation and standards shall be used in preparing the traffic impact study, unless the applicant can establish that, because of circumstances unique to the development and the roadway system servicing the development that other methods or standards provide a more accurate means to evaluate the status of the major thoroughfares affected by the development.
(1)
Traffic generation. Total traffic generated by the development shall be computed and traffic assignments shall be made for each link within the radius of the development in accordance with generally accepted engineering principles. The rates, including pass-by trips, listed in Table 4 of section 27-3282, shall be used, unless documentation is supplied by the applicant or the town, justifying the use of different rates. For the generation rate of a particular use not available from Table 4, the latest edition of the Trip Generation and Information Report published by the Institute of Transportation Engineers (ITE) or the rate determined from an appropriate study approved by the town shall be used.
(2)
The total number of pass-by trips calculated from all uses of the project shall not exceed ten percent of the adjacent roadway traffic projected at the buildout year. Pass-by trips shall also be included in analyzing the traffic volumes on driveways of the project site, adjacent roadways that do not serve major pass-through traffic, and the approaches of adjacent intersections.
(3)
Determination of level of service. An applicant shall use AADT level of service C volume standards and peak season, peak hour two-way level of service D volume standards, as set forth in the transportation element of the town's comprehensive plan and all applicable tables, to show that both adopted level of service standards are maintained.
(4)
Intersection capacity analysis. An applicant's qualified engineer shall perform peak hour intersection capacity analysis for the development build-out year at all access points of the development and at all intersections within the radius of the development influence. Where detailed intersection capacity analysis is required, the latest version of the highway capacity manual operational analysis shall be used. All calculations shall be submitted with the traffic impact study.
(5)
Intersection improvements. Proposed intersection improvements to enhance the level of service may only be considered when the calculations show that the approach linkage will have sufficient capacity to utilize the capacity of the intersection. The proposed intersection improvements shall be based upon an analysis of turning movements that are sufficient to justify the number of turn lanes proposed in the intersection improvement. Any proposed intersection laneage shall be designed in accordance with accepted geometric design standards and practices.
(6)
Radius of development influence. The traffic impact study shall cover an area equal to the proposed development's radius of development influence.
(7)
Background traffic. The traffic impact study must account for any anticipated increase in traffic, based on background traffic during the build-out period of the proposed development. The projection of background traffic shall be based upon the information set forth on the historical traffic growth rate and shall be established in accordance with the requirements set forth in this division and generally accepted engineering principles.
a.
Historical growth rates. Using the historical traffic growth rates, the traffic impact study shall project the increase in traffic volumes, based on background traffic within the radius of development influence, during the build-out period of the proposed development.
b.
Background traffic. The projection of background traffic during the build-out period of the proposed development shall be based upon, and subject to, the review and written approval of the town engineer, using the following criteria:
1.
Historical growth rates.
2.
Characteristics of growth in the radius of development influence.
3.
Extent of existing and approved development in the radius of development influence.
4.
Types and sizes of development in the area of the proposed development.
5.
Traffic circulation in the area of the proposed development.
6.
Previously approved but incomplete development impacts.
7.
Anticipated new and approved/confirmed road construction.
8.
Other factors as they are identified.
(8)
Committed traffic. All of the traffic generated from the unbuilt portions of the previously approved developments shall be considered. The rate of trip reduction due to double counting shall be approved by the town engineer for each development.
(9)
Review by the town. Studies, reports, data, analysis and other supporting or justifying materials required by this section, or otherwise requested by the town in the course of the review of the development, shall be subject to review by the town engineer and other appropriate town staff or outside consultants, particularly for accuracy in the methodology used by the applicant and the technical accuracy of the information provided.
(Code 1992, § 27-1706; Ord. No. 10-88, § 620.4.3.A, 3-1-1988; Ord. No. 16-89, § 2(620.4.3.A), 3-7-1989; Ord. No. 25-08, § 2, 10-21-2008)
The town engineer shall review the information submitted pursuant to this division and determine whether the development complies with this division.
(Code 1992, § 27-1707; Ord. No. 10-88, § 620.4.3.B, 3-1-1988; Ord. No. 16-89, § 2(620.4.3.B), 3-7-1989; Ord. No. 21-95, § 1, 6-6-1995; Ord. No. 25-08, § 2, 10-21-2008)
(a)
A development shall be deemed in compliance with traffic performance standards as set forth in this chapter and granted concurrency, if the total traffic assigned on the town's major thoroughfares, as determined in the traffic impact study within the radius of influence, meet the adopted level of service volume standards.
(b)
A development shall be granted concurrency, if:
(1)
The proposed development impact is determined by the town to be insignificant impact, as defined in section 27-3277;
(2)
The proposed development impact is determined by the town to be de minimis impact, as defined in section 27-3277, and:
a.
The existing plus committed traffic on the town's major thoroughfares within the radius of influence does not exceed 110 percent of the adopted level of service standards; or
b.
The existing plus committed traffic on the town's major thoroughfares within the radius of influence exceeds 110 percent of the adopted level of service standards and the applicant pays for the proportion of roadway improvements approved by the town council necessary to offset the proposed development's impact.
(c)
A development that causes a significant impact on one or more major thoroughfares within the radius of development influence where the total daily and/or peak hour two-way traffic exceeds the adopted level of service volume standards may be granted concurrency under the following conditions:
(1)
Provided the total traffic of the development exceeds the adopted level of service volume standards by no more than ten percent, the applicant commits to identify and construct the roadway and/or intersection improvements necessary to offset the impact of the development, prior to or concurrently with the development's impact on the major thoroughfares. The additional roadway service volumes due to roadway improvements shall be determined using the procedure described in section 27-3283; or
(2)
Provided the total traffic of the development exceeds the adopted level of service volume standards by more than ten percent, the applicant commits to identify and construct the roadway improvements necessary to:
a.
Offset the impact of the proposed development; and
b.
Mitigate the impacts on the failed major thoroughfares and/or intersections within the radius of development influence within 110 percent of the adopted level of service standards, prior to or concurrently with the development's impact on the major thoroughfares.
The additional roadway service volume capacity resulting from the proposed roadway improvements shall be determined using the procedure described in section 27-3283.
(Code 1992, § 27-1708; Ord. No. 10-88, § 620.4.3.C, 3-1-1988; Ord. No. 16-89, § 2(620.4.3.C), 3-7-1989; Ord. No. 25-08, § 2, 10-21-2008)
_____
Table 1. Default Input Values for HCM Intersection Analysis
Notes:
1 V is the total approach volume. c is the LOS E service volume defined in the QLOS handbook (FDOT, 2007) as 850 vph single (through) lane, 1800 vph for two-lane, 2710 vph for three-lane, and 3500 vph for four-lane approach.
2 G refers to the effective green of the overlapping left-turn (LT) phase time and C is cycle length.
Table 2. Lane Utilization Factor (FLU)
Notes:
1 V/C refers to volume-to-capacity ratio for the lane group movement
2 f LU(v/c <e; 0.9) + (1 - f LU(v/c <e; 0.9) ) v/c - 0.9 / 0.1 (linear interpolation)
Table 3. Radius of Development Influence
Table 4. Trip Generation Rates
Notes:
a Peak hour rates for 55+ Single-family Attached were derived from ITE rates for 55+ Detached and the ratio between the peak hour rates for Unrestricted Single-family Detached and Attached.
b Peak hour of generator. No data available for peak hour of adjacent street traffic.
c Weekend peak hour rate = 11.76 per 1,000 sq. ft. with a 50/50 directional split.
d To be used only when adjacent to hospital, for Med. Office square footage not to exceed 44 percent of the hospital square footage.
e Pass-by percentage for general commercial is given by percent = 45.1 - 0.0225(A) where A is 1,000 sq. ft. of gross leasable area.
f Use these rates for a drive-in bank with up to 4 drive-through lanes (excl. ATM lane). For additional drive- through lanes, use per lane rates from ITE Code 912 (411.17 daily, 19.38 AM, 51.08 PM. Use same in/out splits).
g PM Peak hour from ITE 7th Edition. AM and Daily rates derived by applying PM ratio for Self Serve and Automated Car Wash.
h Daily rate taken from PBC trip gen. study. Peak hour rates derived by applying peak to daily ratios for automotive fueling station to daily carwash rate.
(Code 1992, § 27-1709; Ord. No. 10-88, § 620.4.3.D, 3-1-1988; Ord. No. 16-89, § 2(620.4.3.D), 3-7-1989; Ord. No. 25-08, § 2, 10-21-2008; Ord. No. 44-14, § 32, 2-17-2015)
(a)
The following methodology, look-up tables, and calculation procedure are provided hereinafter to determine the adopted level of service volume standards on town thoroughfares given roadway characteristics, including the posted speed limit, lane width, shoulder width, median type, access density, sidewalk and bikelane coverage, intensity of signalized, two-way, all-way stop controlled intersections and/or traffic calming devices. An applicant for a new development or redevelopment may use this procedure to propose the necessary roadway improvements to meet the transportation concurrency requirements if roadway capacity deficiencies are determined to be an issue in the applicant's traffic study. The increase in service volume as estimated from this methodology due to the proposed roadway improvements could also be used to determine the proportionate fair-share of the contribution from the applicant. Upon roadway improvements being committed, the adopted level of service standards established in the comprehensive plan may be amended, at the discretion of the town council, based on the methodology specified in this section.
(b)
The volume standards are primarily established for peak hour directional traffic based on the volume-to-capacity ratio and maximum density designated at each level of service in the following table, and then converted to peak hour two-way as well as AADT using the K (conversion factor from AADT to peak hourly volume) and D (directional) factors. Note that the service volume standards greater than D would become F in some instances if intersection capacities have been reached. The calculation procedure can also be implemented using a worksheet program provided by the town engineering office.
(1)
The average running speed, S avg , is determined based on the free-flow speed and the effect of signal/stop controls/calming devices as follows:
Where:
FFS = Free-flow speed (mph);
k = FFS adjustment factor (=1 for LOS A through C; = 0.97 for LOS D; = 0.93 for LOS E);
n= number of signal/stop controls/calming devices per mile (i = 1, 2, 3, 4 for signal, two-way stop, all-way stop, and calming devices); and
d= average signal/stop control/calming device delay (sec./veh.).
(2)
The free-flow speed (FFS) is calculated by subtracting speed reductions due to lane-width/shoulder, median, access density, and coverage of sidewalk/bikelane from the based free-flow speed (BFFS) in the following fashion:
FFS = BFFS —f w —f M —f A —f B (mph);
Where:
f W = Lane-width adjustment factor;
f M = Median type adjustment factor;
f A = Access density adjustment factor; and
f B = Sidewalk/bikelane adjustment factor.
In practice, BFFS is usually assumed as five mph over the posted speed limit (PSL), i.e., BFFS = PSL + 5. The K and D factor is defaulted as 0.095 and 0.55 unless appropriate evidences from a local study or survey are employed to justify the use of different design values. The adjustment factors are described as follows:
a.
Lane-width/shoulder width adjustment factor.
f W = tabulated speed reduction *PSL/55
(Source: tabulated speed reductions are taken from HCM 2000)
b.
Median type adjustment factor (f M ).
Note:
*n is the number of left-turn access points per mile without exclusive turn lane or divided median. If the number of access points is greater than three per mile, n = 3.
c.
Access density adjustment factor (f A = 0.25*Access Density).
Note: Access density refers to no. of influencing driveways/on-street parking per mile on right-side of travel direction if roadway is divided; otherwise access points from both sides should be counted. (Source: HCM 2000)
d.
Sidewalk/bikelane/shared-path adjustment factor (f B ).
f B = f B1 + f B2 or f B3 (assumed the existence of shared-use path is exclusive from sidewalk/bikelane), where f B1 , f B2 , f B3 are adjustment factor for bikelane, sidewalk, and shared-use path, respectively.
(3)
The average signal/stop control/calming device delay, d 1 through d 4 , should be determined based on the most recently published HCM methodology as follows:
a.
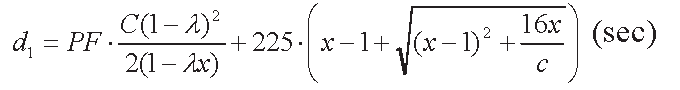
The signalized intersection delay can be determined as:
Where:
PF = progression adjustment factor (default = 1.0, poor = 1.2, good = 0.8);
C = cycle length (= 120 sec. as default);
λ = effective green time to cycle ratio (= 0.41 as default);
x = volume-to-capacity ratio (= 0.22, 0.35, 0.55, 0.73, and 0.92 for LOS A, B, C, D, and E); and
c = capacity (= 1710* as default).
b.
The intersection delay for two-way stop control can be determined as follows:
Where:
c = capacity (vph) =
v c = total conflicting volume (= 300 vph as default, since all-way stop control might be warranted if v c exceeds 300 vph);
t c = critical gap (= 4 sec. as default); and
t f = follow-up time (= 2.5 sec. as default).
c.
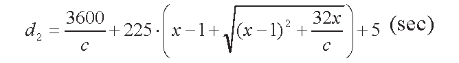
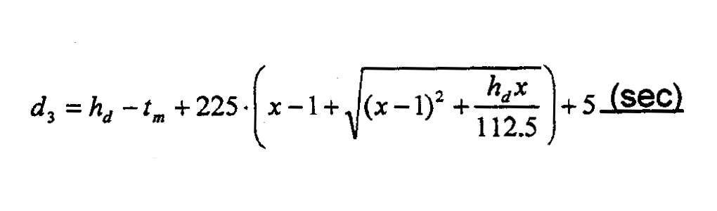
The intersection delay for all-way stop control can be determined as follows:
Where:
h d = departure headway (= 5.5 sec. and 6.5 sec. for one-lane and two-lane approach); and
t m = move-up time (= 2 sec. as default).
d.
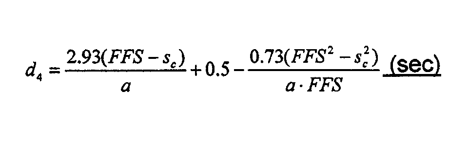
Delay due to traffic calming devices can be calculated based on the speed differential between FFS and the regulatory speed limit for the calming devices (denoted as S c in mph). Assuming the driver decelerates from FFS to S c (defaulted as 20 mph) at comfortable deceleration rate, a, of 11.2 ft./s 2 when approaching the calming device, passes through the device in 0.5 sec., and then accelerates to resume FFS at the same acceleration rate. The delay can then be calculated as:
(Code 1992, § 27-1710; Ord. No. 10-88, § 620.4.3.D, 3-1-1988; Ord. No. 16-89, § 2(620.4.3.E), 3-7-1989; Ord. No. 21-95, § 2, 6-6-1995; Ord. No. 25-08, § 2, 10-21-2008)
(a)
Purpose and intent. The purpose of this section is to establish a method whereby the impacts of development on transportation facilities (which include intersections and any other types of transportation improvements identified by the town as mitigation options) can be mitigated by the cooperative efforts of the public and private sectors, to be known as the proportionate fair-share program, as required by and in a manner consistent with F.S. § 163.3182.
(b)
Applicability. The proportionate fair-share program shall apply to all projects that fail to meet the standards of this division and the town's comprehensive plan on a roadway within the town or a transportation facility that is not the responsibility of Palm Beach County or the state department of transportation (FDOT), that fails to meet the standards of this section pursuant to subsection (c) of this section. The proportionate fair-share program does not apply to DRIs using proportionate fair-share under F.S. § 163.3180(12) or to projects that are exempt from this division.
(c)
General requirements.
(1)
A developer for a development or redevelopment project may satisfy the transportation concurrency requirements of the town by making a proportionate fair-share contribution, pursuant to the following requirements:
a.
Proposed development or redevelopment project is consistent with the comprehensive plan and applicable land development regulations.
b.
The transportation improvement necessary to maintain the adopted level of service (LOS) is specifically identified for construction in the five-year schedule of capital improvements in the capital improvements element (CIE) of the comprehensive plan.
(2)
Any improvement project proposed to meet the developer's fair-share obligation must meet the town's design standards for locally maintained roadways.
(3)
The scope of the project shall provide for no less than the capacity necessary to address the transportation concurrency needs for the next five years after the execution of a binding proportionate fair-share agreement (agreement).
(4)
Transportation.
a.
The road improvement necessary to maintain the adopted LOS is specifically identified for construction in the five-year schedule of capital improvements in the CIE of the comprehensive plan. The provisions of subsection (c)(4)b of this section may apply if a transportation project or projects are needed to satisfy concurrency and are not presently included within the town's CIE.
b.
If an applicant meets the criteria contained in this subsection (c), and the town's CIE does not include the transportation improvements necessary to satisfy the LOS deficiency, then the town council at its sole discretion may allow transportation concurrency improvements and funding for the project through the proportionate fair-share program upon compliance with the following criteria:
1.
The town adopts by ordinance a commitment to add the improvement funded by the developer's proportionate share assessment to the five-year schedule of capital improvements in the CIE at a point no later than the next scheduled annual update. An improvement will be given consideration to be added to the five-year schedule if it furthers an identified economic development goal of the town. To qualify for consideration under this section, the developer shall be required to submit for review and obtain the town's approval of the financial feasibility of the proposed improvement pursuant to F.S. § 163.3180 consistent with the comprehensive plan, and in compliance with the provisions of this ordinance;
2.
The town agrees to enter into an agreement;
3.
The town agrees to amend the five-year schedule of capital improvements in the town's CIE at the next annual review, or if the funds allocated for the five-year schedule of capital improvements in the town's CIE are insufficient to fully fund construction of a transportation improvement required to meet the established adopted LOS standard, the town may still enter into an agreement with the applicant authorizing construction of that amount of development on which the proportionate fair-share is calculated; provided, however, that the proportionate fair-share amount in such agreement is sufficient to pay for one or more improvements which shall, in the opinion of the town council, alleviate the concurrency concern and the CIE is amended accordingly at the next annual review.
(d)
Intergovernmental coordination. Pursuant to policies in the intergovernmental coordination element of the comprehensive plan, the town shall coordinate with affected jurisdictions, including FDOT, regarding mitigation to impacted facilities not under the jurisdiction of the local government receiving the application for proportionate fair-share mitigation. An interlocal agreement may be established with other affected jurisdictions for this purpose.
(e)
Application process.
(1)
In the event an application does not have sufficient capacity to satisfy transportation concurrency, the developer shall have the opportunity to satisfy transportation concurrency through the proportionate fair-share program pursuant to the requirements of subsection (c) of this section. If the impacted facility is on the state strategic intermodal (transportation) system (SIS), then FDOT shall be notified and invited to participate in a preapplication meeting.
(2)
Eligible developers shall submit an application to the director of engineering and public works on a form provided for by the town. The town may establish a fee to review the application.
(3)
The director of engineering and public works shall review the application and certify that the application is sufficient and complete within 20 business days. If an application is determined to be insufficient, incomplete or inconsistent with the general requirements of the proportionate fair-share program as indicated in this section, then the developer will be notified in writing of the reasons for such deficiencies within 20 business days of submittal of the application. If such deficiencies are not remedied by the developer within 90 days of receipt of the written notification, then the application will be deemed withdrawn.
(4)
Pursuant to F.S. § 163.3180(16)(e), proposed proportionate fair-share mitigation for development impacts to facilities on the SIS requires the concurrency of FDOT. The developer shall submit evidence of an agreement between the developer and FDOT for inclusion in the agreement.
(5)
When an application is deemed eligible, sufficient and complete, the developer shall be advised in writing and a proposed proportionate fair-share obligation and binding agreement shall be prepared by the developer and delivered to the appropriate parties for review, including a copy to FDOT for any proposed proportionate fair-share mitigation on a SIS facility, no later than 60 days from the date at which the developer received the notification of an eligible, sufficient and complete application. If the proposed agreement is not received by the town within 60 days, the application will be deemed withdrawn.
(6)
No proportionate fair-share agreement will be effective until approved by the town council.
(f)
Determining proportionate fair-share obligation.
(1)
Proportionate fair-share mitigation for concurrency impacts may include, without limitation, separately or collectively, private funds, contributions of land, and construction and contribution of facilities.
(2)
A project eligible for participation under the proportionate fair-share program shall not be required to pay more than its proportionate fair-share. The fair market value of the proportionate fair-share mitigation for the impacted facilities shall not differ regardless of the method of mitigation.
(3)
The methodology used to calculate a developer's proportionate fair-share obligation shall be as provided for in F.S. § 163.3180(12)(e) as follows:
The cumulative number of trips from the proposed development expected to reach roadways during peak hours from the complete build-out of a stage or phase being approved, divided by the change in the peak hour service volume (SV) of roadways resulting from construction of an improvement necessary to maintain the adopted LOS, multiplied by the construction cost, at the time of developer payment, of the improvement necessary to maintain the adopted LOS. For the purposes of this subsection, the term "construction" shall include all costs associated with the improvement. The methodology expressed as a mathematical equation is as follows:
Proportionate Fair-Share = Σ[[(Development Trips i)/(SV Increase i)] × Cost i]
Where:
Development Trips i = Those trips from the stage or phase of development under review that are assigned to roadway segment "i" and have triggered a deficiency per TPS;
SV Increase i = Service volume increase provided by the eligible improvement to roadway segment "i" per subsection (c) of this section;
Cost i = Adjusted cost of the improvement to segment "i." Cost shall include all improvements and associated costs, such as design, right-of-way acquisition, planning, engineering review, inspection, administration, and physical development costs directly associated with construction at the anticipated cost, including contingencies, in the year it will be incurred.
(4)
For the purposes of determining proportionate fair-share obligations, the director of engineering and public works shall determine improvement costs based upon the actual and/or anticipated cost of the improvement in the year that construction will occur.
(5)
If the town has accepted an improvement proposed by the developer, then the value of the improvement shall be based on an engineer's certified cost estimate provided by the developer and approved by the director of engineering and public works or other method approved by the director.
(6)
If the town has accepted major thoroughfare road right-of-way (ROW) dedication for the proportionate fair-share payment, credit for the dedication of the off-site ROW shall be valued on the date of the dedication at 120 percent of the most recent assessed value by the county property appraiser, or at the option of the town or the developer, by fair market value established by an independent appraisal approved by the town at no expense to the town. This appraisal shall assume no approved development plan for the site. All ROW dedicated must be part of a roadway segment that triggered the deficiency per TPS, and must not be site-related. The developer shall supply a drawing and legal description of the land and a certificate of title or title search of the land to the town at no expense to the town. If the estimated value of the ROW dedication proposed by the developer, based on a town-approved appraisal, is more than the town estimated total proportionate fair-share obligation for the development, then the town will give the developer town road impact fee credit for the difference. Prior to purchase or acquisition of any real estate or acceptance of donations of real estate intended to be used for the proportionate fair-share, public or private partners should contact FDOT for essential information about compliance with federal law and regulations, if on a transportation facility maintained by FDOT or if applicable.
(g)
Impact fee credit for proportionate fair-share mitigation.
(1)
Proportionate fair-share contributions shall be applied as a credit against impact fees to the extent that all or a portion of the proportionate fair-share mitigation is used to address the same capital infrastructure improvements contemplated by chapter 24, article VII.
(2)
Impact fee credits for the proportionate fair-share contribution will be determined when the transportation impact fee obligation is calculated for the proposed development. Impact fees owed by the developer will be reduced per the agreement as they become due pursuant to chapter 24, article VII. Once the credit has been exhausted, payment of road impact fees shall be required for each permit issued. The impact fee credit shall be established when the proportionate fair-share contribution is received by the town, or when the fair-share amount is secured by performance security.
(3)
The proportionate fair-share obligation is intended to mitigate the transportation impacts of a proposed project. As a result, any road impact fee credit based upon proportionate fair-share contributions for a proposed project cannot be transferred to any other project.
(h)
Proportionate fair-share agreements.
(1)
Upon execution of an agreement for any town-maintained roads, the developer shall receive concurrency approval from the town. Should the developer fail to apply for a building permit within 24 months, then the agreement shall be considered null and void, and the developer shall be required to reapply.
(2)
Payment of the proportionate fair-share contribution is due in full no later than issuance of the first building permit, and shall be nonrefundable. If the payment is submitted more than six months from the date of execution of the agreement, then the proportionate fair-share cost shall be recalculated at the time of payment based on the best estimate of the construction cost of the required improvement at the time of payment, pursuant to subsection (f) of this section and adjusted accordingly.
(3)
In the event an agreement requires the developer to build one or more transportation improvements, all such improvements must be commenced prior to issuance of a development permit and ensured by a binding agreement that is accompanied by a performance security sufficient to ensure the completion of all required improvements. It is the intent of this subsection that any required improvements be completed concurrent with development of the project.
(4)
Dedication of necessary ROW for facility improvements pursuant to an agreement must be completed prior to issuance of the first building permit but shall not include a building permit issued for a dry model (a model home not connected to sanitary sewer and potable water).
(5)
Any requested change to a development project subsequent to a development order may be subject to additional proportionate fair-share contributions to the extent the change would generate additional traffic that would require mitigation.
(6)
Developers may submit a letter to withdraw from an agreement at any time prior to the execution of the agreement. The application fee and any associated public notice costs paid to the town will be nonrefundable.
(7)
The town may enter into agreements for selected corridor improvements to facilitate collaboration among multiple developers on improvements to a shared transportation facility.
(i)
Appropriation of fair-share revenues.
(1)
Proportionate fair-share revenues shall be placed in the appropriate project account for funding of scheduled improvements in the CIE, or as otherwise established in the terms of the agreement. Proportionate fair-share revenues may be used as the 50 percent local match for funding under the FDOT transportation regional incentive program (TRIP), or any other matching requirement for state and federal grant programs as may be allowed by law.
(2)
In the event a scheduled facility improvement is removed from the CIE, then the revenues collected for its construction may be applied toward the construction of another improvement within that same corridor that would mitigate the impacts of development pursuant to the requirements of subsection (c)(4)a of this section.
(Code 1992, § 27-1715; Ord. No. 61-06, § 2, 1-16-2007)
PERFORMANCE STANDARDS[19]
State Law reference— Environmental control, F.S. ch. 403.
(a)
All uses and activities permitted as a use by right, conditional use, special exception, or special permit in any district shall conform to the standards of performance in this article and shall be so constructed, maintained, and operated so as not to be injurious or offensive to the occupants of adjacent premises by reason of the emission or creation of noise, vibration, smoke, dust or other particulate matter, toxic or noxious waste materials, odors, fire and explosive hazard or glare.
(b)
The regulations and requirements of this article are intended to enhance the residential character of the town and the health, safety and general welfare of the residents of the town.
(c)
The regulations in this division shall apply to all zoning districts unless an exception is specifically noted.
(Code 1992, § 27-1676; Ord. No. 10-88, §§ 620.1, 620.2, 620.3.A, 3-1-1988)
No emission of odorous gases or other odorous material in such quantity as to be offensive at the lot lines or beyond shall be permitted.
(Code 1992, § 27-1682; Ord. No. 10-88, § 620.3.C, 3-1-1988)
Any operation producing intense glare or heat shall be performed within a completely enclosed building so that no operation will produce heat or glare beyond the property line of the lot on which the operation is located.
(Code 1992, § 27-1683; Ord. No. 10-88, § 620.3.D, 3-1-1988)
No activity involving ionizing radiation shall be permitted which will cause radiation at any point on or beyond any lot line in excess of limits contained in United States Atomic Energy Commission Rules and Regulations, Title 10, Part 20, Code of Federal Regulations.
(Code 1992, § 27-1684; Ord. No. 10-88, § 620.3.E, 3-1-1988)
Every use shall be so operated that the ground vibrations inherently and recurrently generated are not perceptible without instruments at any point on or beyond any lot line on which the use is located.
(Code 1992, § 27-1685; Ord. No. 10-88, § 620.3.F, 3-1-1988)
Every use shall be so operated as to prevent the emission of smoke, from any source whatsoever, to a density greater than described as Number 1 on the Ringelmann Chart; provided, however, that smoke equal to, but not in excess of, that shade of appearance described as Number 2 on the Ringelmann Chart may be emitted for a period or periods totaling four minutes in any 30 minutes. For the purpose of grading the density of smoke, the Ringelmann Chart as published and used by the United States Bureau of Mines, and which is hereby made, by reference, as part of this chapter, shall be the standard. All measurements shall be at the point of emission.
(Code 1992, § 27-1686; Ord. No. 10-88, § 620.3.G, 3-1-1988)
Every use shall be so operated as to prevent the emission into the air of dust or other solid matter, which may cause damage to property or discomfort to persons or animals at or beyond the lot line of the property on which the use is located.
(Code 1992, § 27-1687; Ord. No. 10-88, § 620.3.H, 3-1-1988)
No use shall for any period of time discharge any toxic or noxious matter in such concentration as to be detrimental to or endanger the public health, safety, comfort or welfare or cause injury or damage to property or businesses.
(Code 1992, § 27-1688; Ord. No. 10-88, § 620.3.I, 3-1-1988)
All industrial activities shall be carried on in such a manner and with such precautions against fire and explosion hazards as to produce no explosion hazard to a use on adjacent property. Storage of combustible materials shall be in compliance with all building and fire prevention codes. Materials or products which produce flammable or explosive vapors under ordinary weather temperatures shall be adequately safeguarded.
(Code 1992, § 27-1689; Ord. No. 10-88, § 620.3.J, 3-1-1988)
State Law reference— Fire prevention and control, F.S. ch. 633.
No discharge at any point into any private sewage disposal system or stream or into the ground of any materials in any such way or of such nature or temperature as can contaminate any water supply or otherwise cause the emission of dangerous or objectionable elements shall be permitted except in accordance with approved standards. No accumulation of solid waste conducive to the breeding of rodents or insects shall be permitted and no materials or wastes shall be deposited upon any lot in such form or manner as may be transferred off of that lot by natural causes or forces. Effluent from a treatment plant shall at all times comply with the following standards:
(1)
Maximum quantity of effluent shall be ten percent of the minimum daily stream flow.
(2)
Maximum five-day biochemical oxygen demand shall be five parts per million.
(3)
Maximum five-day biochemical oxygen demand after dilution (BOD of effluent multiplied by quantity divided by quantity of stream flow) shall be 0.25 parts per million.
(4)
Maximum total solids shall be 5,000 parts per million.
(5)
Maximum phenol shall be 0.01 parts per million.
(6)
No effluent shall contain any other acids, oils, dusts, toxic metals, corrosive or other toxic substances in solution or suspension which would create odor, poison, or otherwise pollute the stream in violation of the applicable laws of the state.
(Code 1992, § 27-1690; Ord. No. 10-88, § 620.3.K, 3-1-1988)
No activities shall be permitted (except domestic household appliance use) which produce electromagnetic interference in excess of prescribed standards of the Federal Communications Commission.
(Code 1992, § 27-1691; Ord. No. 10-88, § 620.3.L, 3-1-1988)
Unless specifically provided herein, this division shall apply to development applications for all site plan, planned unit development, and special exception applications (including modifications or amendments), which have the effect of permitting the development of land.
(Code 1992, § 27-1701; Ord. No. 10-88, § 201, 3-1-1988; Ord. No. 16-89, § 1(201), 3-7-1989; Ord. No. 25-08, § 2, 10-21-2008)
It is the intent of this division to establish traffic performance standards for town major thoroughfares, together with guideline criteria and procedures for guiding and controlling growth consistent with maintenance of the adopted levels of service standards. For the purpose of evaluating the state- and county-maintained roadway facilities, including intersections, applicants should refer to the Palm Beach County's Traffic Performance Standards.
(Code 1992, § 27-1702; Ord. No. 10-88, § 620.4.1, 3-1-1988; Ord. No. 16-89, § 2(620.4.1), 3-7-1989; Ord. No. 25-08, § 2, 10-21-2008)
The general standard applicable within the town is that all major thoroughfares serving proposed and/or existing developments within the town shall not exceed the adopted levels of service standards for traffic as established hereafter in this division. The adopted level of service standards shall be maintained throughout the build-out period.
(1)
The established standard for major thoroughfares is level of service C for average daily conditions, and level of service D for peak season, peak hour two-way traffic conditions. The level of service volume standards on both daily and peak hour two-way traffic for town major thoroughfares shall be as set forth in the applicable transportation element tables, as contained in the most current adopted and published comprehensive plan of the town.
(2)
If either daily traffic or peak season, peak period two-way traffic exceeds the adopted level of service volume standards as set forth in the town's comprehensive plan for town major thoroughfares during the build-out period of the development, the town shall not approve the development unless and until link and/or intersection improvements are made such that the adopted level of service volume standards can be achieved, except as specifically provided in the division.
(3)
If a development is determined to have a significant impact on a link as defined in section 27-3277, the intersections at each end of the link shall be analyzed if:
a.
The intersection is signalized or if projected traffic volumes warrant a signal;
b.
An approach to an intersection has reached 50 percent of peak hour two-way LOS D service volume; or
c.
The average of the approach volume to the peak hour two-way LOS D service volume ratio reaches 30 percent.
A detailed intersection analysis shall be performed using the Highway Capacity Manual (HCM) Operational Analysis to determine if the average intersection delay is less than or equal to 55 seconds per vehicle for signalized intersections and 35 seconds per vehicle for (two-way or all-way) stop-controlled intersections during peak season, peak hours. An applicant may make intersection improvements to reduce the average intersection delay to 55 seconds per vehicle or less for signalized intersections, or 35 seconds per vehicle or less for the unsignalized intersections.
(4)
In using the HCM Operational Analysis to determine the intersection delay and level of service, an applicant shall use the defaulted input values for HCM intersection analysis listed in Tables 1 and 2 contained in section 27-3282 herein.
(5)
For any critical movement with a volume of 75 vph or higher in the intersection analysis, the volume to capacity (V/C) ratio should not exceed 1.0, and the level of service shall be maintained at level of service E or better. If it is not possible to adjust the signal timing to meet this requirement, then the average delay on the roadway approaches with less total approach volumes must not exceed 120 percent of the average delay on the intersecting roadway approaches. This signal timing adjustment should be implemented without further downgrading the overall intersection performance below the adopted level of service.
(Code 1992, § 27-1703; Ord. No. 10-88, § 620.4.2, 3-1-1988; Ord. No. 16-89, § 2(620.4.2), 3-7-1989; Ord. No. 25-08, § 2, 10-21-2008)
A development shall be deemed to have the following levels of impact on a thoroughfare based on the assigned traffic from the proposed development on roadway links within the radius of development influence, as determined using the trip generation rates listed in section 27-3282.
(1)
Insignificant impact. Any proposed development shall be deemed to have insignificant impact, provided the number of trips generated by the development, as determined using the trip generation rates listed in section 27-3282, meet the following conditions:
a.
A new residential or nonresidential development, which generates no more than five gross peak hour trips and 50 gross AADT trips;
b.
An amendment to a previously approved development in which the total development, including the proposed amendment, generates no more than five gross peak hour trips and 50 gross AADT trips; and
c.
Redevelopment which generates no more than five net peak hour trips and 50 net AADT trips.
(2)
De minimis traffic impact. A development shall be deemed to have de minimis impact if the number of trips generated by the proposed development is less than or equal to one percent of the AADT at level of service C and peak hour two-way traffic at level of service D on the roadway links directly accessed by the development. Developments that fall in this category shall contain all calculations in the traffic impact study relied upon by the applicant to prove that the proposed development has a de minimis impact.
(3)
Significant impact. A development shall be deemed to have a significant impact if the number of trips generated by the proposed development is more than one percent of the AADT at level of service C or peak hour two-way traffic at level of service D on the roadway links directly accessed by the development. Developments that fall within this category shall also contain a traffic impact study as required by section 27-3278.
(Code 1992, § 27-1704; Ord. No. 10-88, § 201, 3-1-1988; Ord. No. 16-89, § 1(201), 3-7-1989; Ord. No. 25-08, § 2, 10-21-2008)
(a)
A traffic impact study shall be required for any development, except a development with insignificant impact as set forth in section 27-3277(1).
(b)
Traffic impact studies shall be conducted by a qualified engineer to determine whether any of the major thoroughfares within the radius of development influence exceed the adopted level of service standards during the build-out period of the development.
(c)
In determining the effect of a development on adopted level of service standards, the traffic impact study shall address the following areas:
(1)
Traffic characteristics and levels of service of existing major thoroughfares directly affected by the development.
(2)
Trip generations and origin, destination projections for the development.
(3)
Impacts of the development on affected major thoroughfares, including level of service.
(4)
Impacts of previously approved developments affecting the same major thoroughfares as the proposed development.
(5)
Radius of development influence.
(6)
Effects upon roadway alterations anticipated in the proposed development, including, but not limited to, intersection improvements, turn lanes, signalization, medians, and other improvements.
(7)
Highway and intersection design capacities.
(Code 1992, § 27-1705; Ord. No. 10-88, § 620.4.3, 3-1-1988; Ord. No. 16-89, § 2(620.4.3), 3-7-1989; Ord. No. 25-08, § 2, 10-21-2008)
The following methods of evaluation and standards shall be used in preparing the traffic impact study, unless the applicant can establish that, because of circumstances unique to the development and the roadway system servicing the development that other methods or standards provide a more accurate means to evaluate the status of the major thoroughfares affected by the development.
(1)
Traffic generation. Total traffic generated by the development shall be computed and traffic assignments shall be made for each link within the radius of the development in accordance with generally accepted engineering principles. The rates, including pass-by trips, listed in Table 4 of section 27-3282, shall be used, unless documentation is supplied by the applicant or the town, justifying the use of different rates. For the generation rate of a particular use not available from Table 4, the latest edition of the Trip Generation and Information Report published by the Institute of Transportation Engineers (ITE) or the rate determined from an appropriate study approved by the town shall be used.
(2)
The total number of pass-by trips calculated from all uses of the project shall not exceed ten percent of the adjacent roadway traffic projected at the buildout year. Pass-by trips shall also be included in analyzing the traffic volumes on driveways of the project site, adjacent roadways that do not serve major pass-through traffic, and the approaches of adjacent intersections.
(3)
Determination of level of service. An applicant shall use AADT level of service C volume standards and peak season, peak hour two-way level of service D volume standards, as set forth in the transportation element of the town's comprehensive plan and all applicable tables, to show that both adopted level of service standards are maintained.
(4)
Intersection capacity analysis. An applicant's qualified engineer shall perform peak hour intersection capacity analysis for the development build-out year at all access points of the development and at all intersections within the radius of the development influence. Where detailed intersection capacity analysis is required, the latest version of the highway capacity manual operational analysis shall be used. All calculations shall be submitted with the traffic impact study.
(5)
Intersection improvements. Proposed intersection improvements to enhance the level of service may only be considered when the calculations show that the approach linkage will have sufficient capacity to utilize the capacity of the intersection. The proposed intersection improvements shall be based upon an analysis of turning movements that are sufficient to justify the number of turn lanes proposed in the intersection improvement. Any proposed intersection laneage shall be designed in accordance with accepted geometric design standards and practices.
(6)
Radius of development influence. The traffic impact study shall cover an area equal to the proposed development's radius of development influence.
(7)
Background traffic. The traffic impact study must account for any anticipated increase in traffic, based on background traffic during the build-out period of the proposed development. The projection of background traffic shall be based upon the information set forth on the historical traffic growth rate and shall be established in accordance with the requirements set forth in this division and generally accepted engineering principles.
a.
Historical growth rates. Using the historical traffic growth rates, the traffic impact study shall project the increase in traffic volumes, based on background traffic within the radius of development influence, during the build-out period of the proposed development.
b.
Background traffic. The projection of background traffic during the build-out period of the proposed development shall be based upon, and subject to, the review and written approval of the town engineer, using the following criteria:
1.
Historical growth rates.
2.
Characteristics of growth in the radius of development influence.
3.
Extent of existing and approved development in the radius of development influence.
4.
Types and sizes of development in the area of the proposed development.
5.
Traffic circulation in the area of the proposed development.
6.
Previously approved but incomplete development impacts.
7.
Anticipated new and approved/confirmed road construction.
8.
Other factors as they are identified.
(8)
Committed traffic. All of the traffic generated from the unbuilt portions of the previously approved developments shall be considered. The rate of trip reduction due to double counting shall be approved by the town engineer for each development.
(9)
Review by the town. Studies, reports, data, analysis and other supporting or justifying materials required by this section, or otherwise requested by the town in the course of the review of the development, shall be subject to review by the town engineer and other appropriate town staff or outside consultants, particularly for accuracy in the methodology used by the applicant and the technical accuracy of the information provided.
(Code 1992, § 27-1706; Ord. No. 10-88, § 620.4.3.A, 3-1-1988; Ord. No. 16-89, § 2(620.4.3.A), 3-7-1989; Ord. No. 25-08, § 2, 10-21-2008)
The town engineer shall review the information submitted pursuant to this division and determine whether the development complies with this division.
(Code 1992, § 27-1707; Ord. No. 10-88, § 620.4.3.B, 3-1-1988; Ord. No. 16-89, § 2(620.4.3.B), 3-7-1989; Ord. No. 21-95, § 1, 6-6-1995; Ord. No. 25-08, § 2, 10-21-2008)
(a)
A development shall be deemed in compliance with traffic performance standards as set forth in this chapter and granted concurrency, if the total traffic assigned on the town's major thoroughfares, as determined in the traffic impact study within the radius of influence, meet the adopted level of service volume standards.
(b)
A development shall be granted concurrency, if:
(1)
The proposed development impact is determined by the town to be insignificant impact, as defined in section 27-3277;
(2)
The proposed development impact is determined by the town to be de minimis impact, as defined in section 27-3277, and:
a.
The existing plus committed traffic on the town's major thoroughfares within the radius of influence does not exceed 110 percent of the adopted level of service standards; or
b.
The existing plus committed traffic on the town's major thoroughfares within the radius of influence exceeds 110 percent of the adopted level of service standards and the applicant pays for the proportion of roadway improvements approved by the town council necessary to offset the proposed development's impact.
(c)
A development that causes a significant impact on one or more major thoroughfares within the radius of development influence where the total daily and/or peak hour two-way traffic exceeds the adopted level of service volume standards may be granted concurrency under the following conditions:
(1)
Provided the total traffic of the development exceeds the adopted level of service volume standards by no more than ten percent, the applicant commits to identify and construct the roadway and/or intersection improvements necessary to offset the impact of the development, prior to or concurrently with the development's impact on the major thoroughfares. The additional roadway service volumes due to roadway improvements shall be determined using the procedure described in section 27-3283; or
(2)
Provided the total traffic of the development exceeds the adopted level of service volume standards by more than ten percent, the applicant commits to identify and construct the roadway improvements necessary to:
a.
Offset the impact of the proposed development; and
b.
Mitigate the impacts on the failed major thoroughfares and/or intersections within the radius of development influence within 110 percent of the adopted level of service standards, prior to or concurrently with the development's impact on the major thoroughfares.
The additional roadway service volume capacity resulting from the proposed roadway improvements shall be determined using the procedure described in section 27-3283.
(Code 1992, § 27-1708; Ord. No. 10-88, § 620.4.3.C, 3-1-1988; Ord. No. 16-89, § 2(620.4.3.C), 3-7-1989; Ord. No. 25-08, § 2, 10-21-2008)
_____
Table 1. Default Input Values for HCM Intersection Analysis
Notes:
1 V is the total approach volume. c is the LOS E service volume defined in the QLOS handbook (FDOT, 2007) as 850 vph single (through) lane, 1800 vph for two-lane, 2710 vph for three-lane, and 3500 vph for four-lane approach.
2 G refers to the effective green of the overlapping left-turn (LT) phase time and C is cycle length.
Table 2. Lane Utilization Factor (FLU)
Notes:
1 V/C refers to volume-to-capacity ratio for the lane group movement
2 f LU(v/c <e; 0.9) + (1 - f LU(v/c <e; 0.9) ) v/c - 0.9 / 0.1 (linear interpolation)
Table 3. Radius of Development Influence
Table 4. Trip Generation Rates
Notes:
a Peak hour rates for 55+ Single-family Attached were derived from ITE rates for 55+ Detached and the ratio between the peak hour rates for Unrestricted Single-family Detached and Attached.
b Peak hour of generator. No data available for peak hour of adjacent street traffic.
c Weekend peak hour rate = 11.76 per 1,000 sq. ft. with a 50/50 directional split.
d To be used only when adjacent to hospital, for Med. Office square footage not to exceed 44 percent of the hospital square footage.
e Pass-by percentage for general commercial is given by percent = 45.1 - 0.0225(A) where A is 1,000 sq. ft. of gross leasable area.
f Use these rates for a drive-in bank with up to 4 drive-through lanes (excl. ATM lane). For additional drive- through lanes, use per lane rates from ITE Code 912 (411.17 daily, 19.38 AM, 51.08 PM. Use same in/out splits).
g PM Peak hour from ITE 7th Edition. AM and Daily rates derived by applying PM ratio for Self Serve and Automated Car Wash.
h Daily rate taken from PBC trip gen. study. Peak hour rates derived by applying peak to daily ratios for automotive fueling station to daily carwash rate.
(Code 1992, § 27-1709; Ord. No. 10-88, § 620.4.3.D, 3-1-1988; Ord. No. 16-89, § 2(620.4.3.D), 3-7-1989; Ord. No. 25-08, § 2, 10-21-2008; Ord. No. 44-14, § 32, 2-17-2015)
(a)
The following methodology, look-up tables, and calculation procedure are provided hereinafter to determine the adopted level of service volume standards on town thoroughfares given roadway characteristics, including the posted speed limit, lane width, shoulder width, median type, access density, sidewalk and bikelane coverage, intensity of signalized, two-way, all-way stop controlled intersections and/or traffic calming devices. An applicant for a new development or redevelopment may use this procedure to propose the necessary roadway improvements to meet the transportation concurrency requirements if roadway capacity deficiencies are determined to be an issue in the applicant's traffic study. The increase in service volume as estimated from this methodology due to the proposed roadway improvements could also be used to determine the proportionate fair-share of the contribution from the applicant. Upon roadway improvements being committed, the adopted level of service standards established in the comprehensive plan may be amended, at the discretion of the town council, based on the methodology specified in this section.
(b)
The volume standards are primarily established for peak hour directional traffic based on the volume-to-capacity ratio and maximum density designated at each level of service in the following table, and then converted to peak hour two-way as well as AADT using the K (conversion factor from AADT to peak hourly volume) and D (directional) factors. Note that the service volume standards greater than D would become F in some instances if intersection capacities have been reached. The calculation procedure can also be implemented using a worksheet program provided by the town engineering office.
(1)
The average running speed, S avg , is determined based on the free-flow speed and the effect of signal/stop controls/calming devices as follows:
Where:
FFS = Free-flow speed (mph);
k = FFS adjustment factor (=1 for LOS A through C; = 0.97 for LOS D; = 0.93 for LOS E);
n= number of signal/stop controls/calming devices per mile (i = 1, 2, 3, 4 for signal, two-way stop, all-way stop, and calming devices); and
d= average signal/stop control/calming device delay (sec./veh.).
(2)
The free-flow speed (FFS) is calculated by subtracting speed reductions due to lane-width/shoulder, median, access density, and coverage of sidewalk/bikelane from the based free-flow speed (BFFS) in the following fashion:
FFS = BFFS —f w —f M —f A —f B (mph);
Where:
f W = Lane-width adjustment factor;
f M = Median type adjustment factor;
f A = Access density adjustment factor; and
f B = Sidewalk/bikelane adjustment factor.
In practice, BFFS is usually assumed as five mph over the posted speed limit (PSL), i.e., BFFS = PSL + 5. The K and D factor is defaulted as 0.095 and 0.55 unless appropriate evidences from a local study or survey are employed to justify the use of different design values. The adjustment factors are described as follows:
a.
Lane-width/shoulder width adjustment factor.
f W = tabulated speed reduction *PSL/55
(Source: tabulated speed reductions are taken from HCM 2000)
b.
Median type adjustment factor (f M ).
Note:
*n is the number of left-turn access points per mile without exclusive turn lane or divided median. If the number of access points is greater than three per mile, n = 3.
c.
Access density adjustment factor (f A = 0.25*Access Density).
Note: Access density refers to no. of influencing driveways/on-street parking per mile on right-side of travel direction if roadway is divided; otherwise access points from both sides should be counted. (Source: HCM 2000)
d.
Sidewalk/bikelane/shared-path adjustment factor (f B ).
f B = f B1 + f B2 or f B3 (assumed the existence of shared-use path is exclusive from sidewalk/bikelane), where f B1 , f B2 , f B3 are adjustment factor for bikelane, sidewalk, and shared-use path, respectively.
(3)
The average signal/stop control/calming device delay, d 1 through d 4 , should be determined based on the most recently published HCM methodology as follows:
a.
The signalized intersection delay can be determined as:
Where:
PF = progression adjustment factor (default = 1.0, poor = 1.2, good = 0.8);
C = cycle length (= 120 sec. as default);
λ = effective green time to cycle ratio (= 0.41 as default);
x = volume-to-capacity ratio (= 0.22, 0.35, 0.55, 0.73, and 0.92 for LOS A, B, C, D, and E); and
c = capacity (= 1710* as default).
b.
The intersection delay for two-way stop control can be determined as follows:
Where:
c = capacity (vph) =
v c = total conflicting volume (= 300 vph as default, since all-way stop control might be warranted if v c exceeds 300 vph);
t c = critical gap (= 4 sec. as default); and
t f = follow-up time (= 2.5 sec. as default).
c.
The intersection delay for all-way stop control can be determined as follows:
Where:
h d = departure headway (= 5.5 sec. and 6.5 sec. for one-lane and two-lane approach); and
t m = move-up time (= 2 sec. as default).
d.
Delay due to traffic calming devices can be calculated based on the speed differential between FFS and the regulatory speed limit for the calming devices (denoted as S c in mph). Assuming the driver decelerates from FFS to S c (defaulted as 20 mph) at comfortable deceleration rate, a, of 11.2 ft./s 2 when approaching the calming device, passes through the device in 0.5 sec., and then accelerates to resume FFS at the same acceleration rate. The delay can then be calculated as:
(Code 1992, § 27-1710; Ord. No. 10-88, § 620.4.3.D, 3-1-1988; Ord. No. 16-89, § 2(620.4.3.E), 3-7-1989; Ord. No. 21-95, § 2, 6-6-1995; Ord. No. 25-08, § 2, 10-21-2008)
(a)
Purpose and intent. The purpose of this section is to establish a method whereby the impacts of development on transportation facilities (which include intersections and any other types of transportation improvements identified by the town as mitigation options) can be mitigated by the cooperative efforts of the public and private sectors, to be known as the proportionate fair-share program, as required by and in a manner consistent with F.S. § 163.3182.
(b)
Applicability. The proportionate fair-share program shall apply to all projects that fail to meet the standards of this division and the town's comprehensive plan on a roadway within the town or a transportation facility that is not the responsibility of Palm Beach County or the state department of transportation (FDOT), that fails to meet the standards of this section pursuant to subsection (c) of this section. The proportionate fair-share program does not apply to DRIs using proportionate fair-share under F.S. § 163.3180(12) or to projects that are exempt from this division.
(c)
General requirements.
(1)
A developer for a development or redevelopment project may satisfy the transportation concurrency requirements of the town by making a proportionate fair-share contribution, pursuant to the following requirements:
a.
Proposed development or redevelopment project is consistent with the comprehensive plan and applicable land development regulations.
b.
The transportation improvement necessary to maintain the adopted level of service (LOS) is specifically identified for construction in the five-year schedule of capital improvements in the capital improvements element (CIE) of the comprehensive plan.
(2)
Any improvement project proposed to meet the developer's fair-share obligation must meet the town's design standards for locally maintained roadways.
(3)
The scope of the project shall provide for no less than the capacity necessary to address the transportation concurrency needs for the next five years after the execution of a binding proportionate fair-share agreement (agreement).
(4)
Transportation.
a.
The road improvement necessary to maintain the adopted LOS is specifically identified for construction in the five-year schedule of capital improvements in the CIE of the comprehensive plan. The provisions of subsection (c)(4)b of this section may apply if a transportation project or projects are needed to satisfy concurrency and are not presently included within the town's CIE.
b.
If an applicant meets the criteria contained in this subsection (c), and the town's CIE does not include the transportation improvements necessary to satisfy the LOS deficiency, then the town council at its sole discretion may allow transportation concurrency improvements and funding for the project through the proportionate fair-share program upon compliance with the following criteria:
1.
The town adopts by ordinance a commitment to add the improvement funded by the developer's proportionate share assessment to the five-year schedule of capital improvements in the CIE at a point no later than the next scheduled annual update. An improvement will be given consideration to be added to the five-year schedule if it furthers an identified economic development goal of the town. To qualify for consideration under this section, the developer shall be required to submit for review and obtain the town's approval of the financial feasibility of the proposed improvement pursuant to F.S. § 163.3180 consistent with the comprehensive plan, and in compliance with the provisions of this ordinance;
2.
The town agrees to enter into an agreement;
3.
The town agrees to amend the five-year schedule of capital improvements in the town's CIE at the next annual review, or if the funds allocated for the five-year schedule of capital improvements in the town's CIE are insufficient to fully fund construction of a transportation improvement required to meet the established adopted LOS standard, the town may still enter into an agreement with the applicant authorizing construction of that amount of development on which the proportionate fair-share is calculated; provided, however, that the proportionate fair-share amount in such agreement is sufficient to pay for one or more improvements which shall, in the opinion of the town council, alleviate the concurrency concern and the CIE is amended accordingly at the next annual review.
(d)
Intergovernmental coordination. Pursuant to policies in the intergovernmental coordination element of the comprehensive plan, the town shall coordinate with affected jurisdictions, including FDOT, regarding mitigation to impacted facilities not under the jurisdiction of the local government receiving the application for proportionate fair-share mitigation. An interlocal agreement may be established with other affected jurisdictions for this purpose.
(e)
Application process.
(1)
In the event an application does not have sufficient capacity to satisfy transportation concurrency, the developer shall have the opportunity to satisfy transportation concurrency through the proportionate fair-share program pursuant to the requirements of subsection (c) of this section. If the impacted facility is on the state strategic intermodal (transportation) system (SIS), then FDOT shall be notified and invited to participate in a preapplication meeting.
(2)
Eligible developers shall submit an application to the director of engineering and public works on a form provided for by the town. The town may establish a fee to review the application.
(3)
The director of engineering and public works shall review the application and certify that the application is sufficient and complete within 20 business days. If an application is determined to be insufficient, incomplete or inconsistent with the general requirements of the proportionate fair-share program as indicated in this section, then the developer will be notified in writing of the reasons for such deficiencies within 20 business days of submittal of the application. If such deficiencies are not remedied by the developer within 90 days of receipt of the written notification, then the application will be deemed withdrawn.
(4)
Pursuant to F.S. § 163.3180(16)(e), proposed proportionate fair-share mitigation for development impacts to facilities on the SIS requires the concurrency of FDOT. The developer shall submit evidence of an agreement between the developer and FDOT for inclusion in the agreement.
(5)
When an application is deemed eligible, sufficient and complete, the developer shall be advised in writing and a proposed proportionate fair-share obligation and binding agreement shall be prepared by the developer and delivered to the appropriate parties for review, including a copy to FDOT for any proposed proportionate fair-share mitigation on a SIS facility, no later than 60 days from the date at which the developer received the notification of an eligible, sufficient and complete application. If the proposed agreement is not received by the town within 60 days, the application will be deemed withdrawn.
(6)
No proportionate fair-share agreement will be effective until approved by the town council.
(f)
Determining proportionate fair-share obligation.
(1)
Proportionate fair-share mitigation for concurrency impacts may include, without limitation, separately or collectively, private funds, contributions of land, and construction and contribution of facilities.
(2)
A project eligible for participation under the proportionate fair-share program shall not be required to pay more than its proportionate fair-share. The fair market value of the proportionate fair-share mitigation for the impacted facilities shall not differ regardless of the method of mitigation.
(3)
The methodology used to calculate a developer's proportionate fair-share obligation shall be as provided for in F.S. § 163.3180(12)(e) as follows:
The cumulative number of trips from the proposed development expected to reach roadways during peak hours from the complete build-out of a stage or phase being approved, divided by the change in the peak hour service volume (SV) of roadways resulting from construction of an improvement necessary to maintain the adopted LOS, multiplied by the construction cost, at the time of developer payment, of the improvement necessary to maintain the adopted LOS. For the purposes of this subsection, the term "construction" shall include all costs associated with the improvement. The methodology expressed as a mathematical equation is as follows:
Proportionate Fair-Share = Σ[[(Development Trips i)/(SV Increase i)] × Cost i]
Where:
Development Trips i = Those trips from the stage or phase of development under review that are assigned to roadway segment "i" and have triggered a deficiency per TPS;
SV Increase i = Service volume increase provided by the eligible improvement to roadway segment "i" per subsection (c) of this section;
Cost i = Adjusted cost of the improvement to segment "i." Cost shall include all improvements and associated costs, such as design, right-of-way acquisition, planning, engineering review, inspection, administration, and physical development costs directly associated with construction at the anticipated cost, including contingencies, in the year it will be incurred.
(4)
For the purposes of determining proportionate fair-share obligations, the director of engineering and public works shall determine improvement costs based upon the actual and/or anticipated cost of the improvement in the year that construction will occur.
(5)
If the town has accepted an improvement proposed by the developer, then the value of the improvement shall be based on an engineer's certified cost estimate provided by the developer and approved by the director of engineering and public works or other method approved by the director.
(6)
If the town has accepted major thoroughfare road right-of-way (ROW) dedication for the proportionate fair-share payment, credit for the dedication of the off-site ROW shall be valued on the date of the dedication at 120 percent of the most recent assessed value by the county property appraiser, or at the option of the town or the developer, by fair market value established by an independent appraisal approved by the town at no expense to the town. This appraisal shall assume no approved development plan for the site. All ROW dedicated must be part of a roadway segment that triggered the deficiency per TPS, and must not be site-related. The developer shall supply a drawing and legal description of the land and a certificate of title or title search of the land to the town at no expense to the town. If the estimated value of the ROW dedication proposed by the developer, based on a town-approved appraisal, is more than the town estimated total proportionate fair-share obligation for the development, then the town will give the developer town road impact fee credit for the difference. Prior to purchase or acquisition of any real estate or acceptance of donations of real estate intended to be used for the proportionate fair-share, public or private partners should contact FDOT for essential information about compliance with federal law and regulations, if on a transportation facility maintained by FDOT or if applicable.
(g)
Impact fee credit for proportionate fair-share mitigation.
(1)
Proportionate fair-share contributions shall be applied as a credit against impact fees to the extent that all or a portion of the proportionate fair-share mitigation is used to address the same capital infrastructure improvements contemplated by chapter 24, article VII.
(2)
Impact fee credits for the proportionate fair-share contribution will be determined when the transportation impact fee obligation is calculated for the proposed development. Impact fees owed by the developer will be reduced per the agreement as they become due pursuant to chapter 24, article VII. Once the credit has been exhausted, payment of road impact fees shall be required for each permit issued. The impact fee credit shall be established when the proportionate fair-share contribution is received by the town, or when the fair-share amount is secured by performance security.
(3)
The proportionate fair-share obligation is intended to mitigate the transportation impacts of a proposed project. As a result, any road impact fee credit based upon proportionate fair-share contributions for a proposed project cannot be transferred to any other project.
(h)
Proportionate fair-share agreements.
(1)
Upon execution of an agreement for any town-maintained roads, the developer shall receive concurrency approval from the town. Should the developer fail to apply for a building permit within 24 months, then the agreement shall be considered null and void, and the developer shall be required to reapply.
(2)
Payment of the proportionate fair-share contribution is due in full no later than issuance of the first building permit, and shall be nonrefundable. If the payment is submitted more than six months from the date of execution of the agreement, then the proportionate fair-share cost shall be recalculated at the time of payment based on the best estimate of the construction cost of the required improvement at the time of payment, pursuant to subsection (f) of this section and adjusted accordingly.
(3)
In the event an agreement requires the developer to build one or more transportation improvements, all such improvements must be commenced prior to issuance of a development permit and ensured by a binding agreement that is accompanied by a performance security sufficient to ensure the completion of all required improvements. It is the intent of this subsection that any required improvements be completed concurrent with development of the project.
(4)
Dedication of necessary ROW for facility improvements pursuant to an agreement must be completed prior to issuance of the first building permit but shall not include a building permit issued for a dry model (a model home not connected to sanitary sewer and potable water).
(5)
Any requested change to a development project subsequent to a development order may be subject to additional proportionate fair-share contributions to the extent the change would generate additional traffic that would require mitigation.
(6)
Developers may submit a letter to withdraw from an agreement at any time prior to the execution of the agreement. The application fee and any associated public notice costs paid to the town will be nonrefundable.
(7)
The town may enter into agreements for selected corridor improvements to facilitate collaboration among multiple developers on improvements to a shared transportation facility.
(i)
Appropriation of fair-share revenues.
(1)
Proportionate fair-share revenues shall be placed in the appropriate project account for funding of scheduled improvements in the CIE, or as otherwise established in the terms of the agreement. Proportionate fair-share revenues may be used as the 50 percent local match for funding under the FDOT transportation regional incentive program (TRIP), or any other matching requirement for state and federal grant programs as may be allowed by law.
(2)
In the event a scheduled facility improvement is removed from the CIE, then the revenues collected for its construction may be applied toward the construction of another improvement within that same corridor that would mitigate the impacts of development pursuant to the requirements of subsection (c)(4)a of this section.
(Code 1992, § 27-1715; Ord. No. 61-06, § 2, 1-16-2007)