47 - WATER-EFFICIENT LANDSCAPING7
Editor's note— Ord. No. 321, § 1, adopted Nov. 19, 2014, repealed the former Art. 15-47, § 15-47.010, and enacted a new Art. 15-47 as set out herein. The former Art. 15-47 adopted the State of California Model Water Efficient Landscape Ordinance and derived from Ord. No. 279, adopted May 19, 2010. See List of Ordinances for prior derivation.
The purpose of this Article is to reduce water waste in landscaping by promoting the use of region-appropriate plants that require minimal supplemental irrigation, and by establishing standards for irrigation efficiency. This Article implements the California Water Conservation in Landscaping Act.
(Ord. No. 321, § 1, 11-19-2014)
(a)
The provisions of this Article shall not apply to the following projects or uses:
(1)
Any new or rehabilitated landscapes that do not require a building or landscape permit, plan check or design review;
(2)
Any rehabilitated landscape area that is less than or equal to two thousand five hundred square feet;
(3)
Any new landscapes less than five hundred square feet;
(4)
Registered local, state or federal historical sites where landscaping establishes a historical landscape style, as determined by the City Council;
(5)
Surface mine reclamation projects that do not require a permanent irrigation system;
(6)
Ecological restoration projects that do not require a permanent irrigation system;
(7)
Existing plant collections, as part of botanical gardens and/or arboretums open to the public; or
(8)
Agricultural and horticultural commerce (e.g. commercial activities such as farming of grains, wine grapes, vegetables, fruit and nut trees and other agricultural crop production: greenhouses; nurseries; and floriculture facilities).
(b)
Table defining applicability thresholds. The provisions of this Article shall apply to all projects or uses that do not meet criteria for exemption in Section 15-47.015(a):
* Full Compliance Option
** Prescriptive Compliance Option pursuant to Appendix D of the State Model Water Efficient Landscape Ordinance
(Ord. No. 321, § 1, 11-19-2014; Ord. No. 339, § 1, 3-16-2016)
Unless otherwise specified in this Article, each project or use to which this Article is applicable shall demonstrate that the landscape area complies with subsection (a), (b), (c) or (d) of this Section:
(a)
Small project or use—Streamlined option. For each project or use with an aggregate landscape area of less than or equal to two thousand five hundred square feet, the applicant may submit for Community Development Department approval a landscape and irrigation design plan which conforms to the Prescriptive Compliance Option, Appendix D of the State Model Water Efficient Landscape Ordinance. In order to use the streamlined option, the applicant must demonstrate the following:
(1)
For a residential area at least seventy-five percent of the landscape area is native or low water use plants. Turf shall be less than twenty-five percent of the landscape area.
(2)
For a commercial area one hundred percent of the landscape area is native or low water use plants. Turf is not permitted in the landscape area.
(b)
Large project or use/rehabilitated landscape project—Water budget option. For each project or use that requires full compliance pursuant to Section 15-47.015(b), the applicant shall submit for Community Development Department approval the following completed documents demonstrating that the estimated total water use (ETWU) of the landscape area will not exceed the maximum applied water allowance (MAWA):
(1)
Water-efficient landscape worksheet, as provided by the Community Development Department;
(2)
Water budget in compliance with the standards in Section 15-47.030;
(3)
Landscape and irrigation design plan in accordance with Section 15-47.040;
(4)
Certificate of completion. A certificate of completion, on such forms as may be prescribed, shall be filed with the Community Development Department prior to final building permit approval; and
(5)
Landscape plan check fee. Fees for review and processing of required documents, as set forth in the fee schedule adopted by the City.
(c)
Project or use with graywater or rainwater irrigation pursuant to Section 15-47.015(b)—Water budget or partial streamlined option.
(1)
For a project or use using treated or untreated graywater or rainwater captured on site, any parcel within the project that has less than or equal to two thousand five hundred square feet of landscape and meets the parcel's landscape water requirement (estimated water use) entirely with treated or untreated graywater or through stored rainwater captured on site is subject only to Appendix D Section (b)(5) of the State Model Water Efficient Landscape Ordinance, available at the Community Development Department.
(2)
For a project or use using treated or untreated graywater or rainwater captured on site, any parcel within the project that has more than two thousand five hundred square feet of landscape shall be subject to a water budget pursuant to Section 15-47.030 and shall submit for Community Development Department approval completed documents referenced in Section 15-47.020(b) demonstrating that the estimated total water use (ETWU) of the landscape area will not exceed the maximum applied water allowance (MAWA).
(d)
Other projects pursuant to Section 15-47.015(b)—Partial compliance.
(1)
Any new or rehabilitated cemetery shall be subject to a water budget pursuant to Section 15-47.030 and shall submit for Community Development Department approval completed documents referenced in Section 15-47.020(b) demonstrating that the estimated total water use (ETWU) of the landscape area will not exceed the maximum applied water allowance (MAWA).
(2)
Any existing landscape area larger than one acre, including a cemetery, shall comply with Section 15-47.070.
(Ord. No. 321, § 1, 11-19-2014; Ord. No. 339, § 1, 3-16-2016)
If the applicant complies with Article 15-47 by means of the "water budget" option, a water budget is required, which shall satisfy the following requirements:
(a)
The water budget must be completed by a certified professional who is authorized by the State of California to complete a water budget.
(b)
The maximum applied water allowance (MAWA) (gallons per year) shall be calculated using the equations set forth below:
Standard MAWA = (ETo)(0.62)[(ETAF × LA) + (1 - ETAF) × SLA)]
Where:
ETo = Reference Evapotranspiration (inches per year)
ETAF = ET Adjustment Factor (Section 15-47.030(e))
0.62 = Conversion Factor (acre-inches to gallons per year)
LA = Landscape Area including SLA (square feet)
SLA = Special Landscape Area (square feet)*
* Special Landscape Area (SLA) means an area of the landscape dedicated solely to edible plants, recreational areas, areas irrigated with recycled water, or water features using recycled water.
(c)
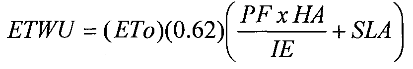
The estimated total water use (ETWU) (gallons) shall be calculated using the equations set forth below:
Where:
ETo = Reference Evapotranspiration (inches)
PF = Plant Factor from WUCOLS
HA = Hydrozone Area [high, medium, and low water use areas](square feet)
SLA = Special Landscape Area (square feet)
0.62 = Conversion Factor
IE = Irrigation Efficiency (minimum 0.75 for overhead spray devices and 0.81 for drip
systems)
* Hydrozone area means a portion of the landscaped area having plants with similar water needs and rooting depth. A hydrozone area may be irrigated or non-irrigated.
(d)
The sum of the ETWU calculated for all hydrozones shall not exceed the MAWA.
(e)
The reference evapotranspiration adjustment factor (ETAF) for new and existing (non-rehabilitated) special landscape areas shall not exceed 1.0. The ETAF for the remaining landscaped area shall not exceed 0.55 for residential areas and 0.45 for nonresidential areas.
(f)
The plant factor used shall be:
(1)
From the Water Use Classification of Landscape Species (WUCOLS), adopted by reference as published by the University of California Cooperative Extension, the Department of Water Resources and the Bureau of Reclamation and kept on file at the Community Development Department; or
(2)
From horticultural researchers with academic institutions or professional associations as approved by the California Department of Water Resources (DWR).
(g)
Each water feature shall be included in the high water use hydrozone.
(h)
Each special landscape area (SLA) shall be identified, and its water use included, in the water budget calculations.
(i)
Irrigation system efficiency shall be greater than or equal to seventy-five percent for overhead spray devices and eighty-one percent for drip system devices.
(j)
A project applicant may consider effective precipitation (twenty-five percent of annual precipitation) in tracking water use and may use the alternative MAWA equation set forth below:
Alternative MAWA for Residential Areas =
(ETo - Eppt)(0.62)[(0.55 × LA) + (0.45 × SLA)]
Alternate MAWA for Non-Residential Areas =
(ETo - Eppt)(0.62)(0.45 × LA) + (0.55 × SLA)
(Ord. No. 321, § 1, 11-19-2014; Ord. No. 339, § 1, 3-16-2016)
Editor's note— Ord. No. 339, § 1, adopted March 16, 2016, retitled the catchline of § 15-47.030 from "Water budget standards" to read as herein set out.
(a)
The landscape and irrigation plan shall be prepared by, and bear the signature of, a licensed landscape architect, licensed landscape contractor, or that of a certified or authorized professional who is authorized by the State of California to complete a water budget, and shall contain the following statement: "I have complied with the criteria of the City of Saratoga Water Efficient Landscape Ordinance currently in effect and applied them for the efficient use of water in the Landscape and Irrigation Plan."
(b)
The landscape and irrigation plan shall constitute an exhibit to, and contain all information required on, the water efficient landscape and irrigation plan checklist, developed by the Community Development Department, as necessary to demonstrate compliance with Article 15-47, and shall at a minimum:
(1)
Identify type and location of all irrigation systems, meters, automated controls, separate valves, hours of operation, and efficiency levels. Irrigation systems are required to have pressure regulators and master-shut off valves.
(2)
Identify type and location of all plant material, turf and non-turf areas, and mulching. Turf shall be less than twenty-five percent of the landscape area in residential areas and there shall be no turf in nonresidential areas.
(3)
Identify all hydrozones and special landscape areas including square footage of each separate hydrozone.
(4)
Identify all hardscapes and water features.
(5)
Identify all low impact development (LID) site design measures as required to comply with any and all stormwater management requirements established by law.
(6)
Identify all grading contours and quantities, as applicable. Turf shall not be planted on sloped areas which exceed a slope of one foot vertical elevation change for every four feet of horizontal length.
(7)
Identify all dedicated landscape water meters or submeters, which shall be required for all non-residential irrigated landscapes greater than one thousand square feet or and residential irrigated landscapes greater than five thousand square feet, except for those installations where irrigation water is provided by an individual on-site well. Flow sensors that detect and report high flow conditions due to broken pieces and/or popped sprinkler heads are required for landscape areas greater than five thousand square feet.
(8)
Irrigate with subsurface irrigation or other means that produce no runoff or overspray for all areas less than ten feet in width in any direction. Turf is prohibited in parkways less than ten feet wide unless the parkway is adjacent to a parking strip and used to enter and exit vehicles.
(9)
For established landscapes that have dedicated irrigation meters, the maximum applied water allowance (MAWA) shall be calculated as follows:
Audited MAWA = (ETo) (0.62) (LA) (0.8) where ETAF = 0.8
(10)
Identify any applicable graywater discharge piping system components and areas of distribution.
(Ord. No. 321, § 1, 11-19-2014; Ord. No. 339, § 1, 3-16-2016)
As to each project or use to which this Article 15-47 is applicable, each landscape area shall be maintained in compliance with the standards in Article 15-47 to ensure water use efficiency, including by inspection; adjustment and repair of the irrigation system and its components; aerating and dethatching turf areas; replenishing mulch; fertilizing; pruning; weeding in each landscape area; and removing obstructions to emission devices.
(Ord. No. 321, § 1, 11-19-2014; Ord. No. 339, § 1, 3-16-2016)
Stormwater best management practices shall be implemented into each project landscape and irrigation plan and each project grading design plan to minimize runoff and to increase on-site rainwater retention and infiltration and be consistent with any and all stormwater management requirements established by law.
(Ord. No. 321, § 1, 11-19-2014; Ord. No. 339, § 1, 3-16-2016)
Editor's note— Ord. No. 339, § 1, adopted March 16, 2016, retitled the catchline of § 15.47.060 from "Stormwater management" to read as herein set out.
Each property owner of a property containing landscape area(s) over one acre in size, that were installed prior to adoption of the ordinance codified in this Article, and do not otherwise meet the applicability criteria of Section 15-47.015, shall:
(a)
Cooperate with their water purveyors who may provide water waste prevention recommendations resulting from a landscape irrigation water use analysis, landscape irrigation audit, and/or landscape irrigation survey.
(b)
Maintain irrigation levels not exceeding the standard MAWA equation if the site has a water meter.
(Ord. No. 321, § 1, 11-19-2014; Ord. No. 339, § 1, 3-16-2016)
Any violation of this Article shall be subject to enforcement in accordance with the terms thereof and in addition to any other rights and remedies available to the City under Chapter 3 of this Code by reason of the same violation.
(Ord. No. 321, § 1, 11-19-2014)
47 - WATER-EFFICIENT LANDSCAPING7
Editor's note— Ord. No. 321, § 1, adopted Nov. 19, 2014, repealed the former Art. 15-47, § 15-47.010, and enacted a new Art. 15-47 as set out herein. The former Art. 15-47 adopted the State of California Model Water Efficient Landscape Ordinance and derived from Ord. No. 279, adopted May 19, 2010. See List of Ordinances for prior derivation.
The purpose of this Article is to reduce water waste in landscaping by promoting the use of region-appropriate plants that require minimal supplemental irrigation, and by establishing standards for irrigation efficiency. This Article implements the California Water Conservation in Landscaping Act.
(Ord. No. 321, § 1, 11-19-2014)
(a)
The provisions of this Article shall not apply to the following projects or uses:
(1)
Any new or rehabilitated landscapes that do not require a building or landscape permit, plan check or design review;
(2)
Any rehabilitated landscape area that is less than or equal to two thousand five hundred square feet;
(3)
Any new landscapes less than five hundred square feet;
(4)
Registered local, state or federal historical sites where landscaping establishes a historical landscape style, as determined by the City Council;
(5)
Surface mine reclamation projects that do not require a permanent irrigation system;
(6)
Ecological restoration projects that do not require a permanent irrigation system;
(7)
Existing plant collections, as part of botanical gardens and/or arboretums open to the public; or
(8)
Agricultural and horticultural commerce (e.g. commercial activities such as farming of grains, wine grapes, vegetables, fruit and nut trees and other agricultural crop production: greenhouses; nurseries; and floriculture facilities).
(b)
Table defining applicability thresholds. The provisions of this Article shall apply to all projects or uses that do not meet criteria for exemption in Section 15-47.015(a):
* Full Compliance Option
** Prescriptive Compliance Option pursuant to Appendix D of the State Model Water Efficient Landscape Ordinance
(Ord. No. 321, § 1, 11-19-2014; Ord. No. 339, § 1, 3-16-2016)
Unless otherwise specified in this Article, each project or use to which this Article is applicable shall demonstrate that the landscape area complies with subsection (a), (b), (c) or (d) of this Section:
(a)
Small project or use—Streamlined option. For each project or use with an aggregate landscape area of less than or equal to two thousand five hundred square feet, the applicant may submit for Community Development Department approval a landscape and irrigation design plan which conforms to the Prescriptive Compliance Option, Appendix D of the State Model Water Efficient Landscape Ordinance. In order to use the streamlined option, the applicant must demonstrate the following:
(1)
For a residential area at least seventy-five percent of the landscape area is native or low water use plants. Turf shall be less than twenty-five percent of the landscape area.
(2)
For a commercial area one hundred percent of the landscape area is native or low water use plants. Turf is not permitted in the landscape area.
(b)
Large project or use/rehabilitated landscape project—Water budget option. For each project or use that requires full compliance pursuant to Section 15-47.015(b), the applicant shall submit for Community Development Department approval the following completed documents demonstrating that the estimated total water use (ETWU) of the landscape area will not exceed the maximum applied water allowance (MAWA):
(1)
Water-efficient landscape worksheet, as provided by the Community Development Department;
(2)
Water budget in compliance with the standards in Section 15-47.030;
(3)
Landscape and irrigation design plan in accordance with Section 15-47.040;
(4)
Certificate of completion. A certificate of completion, on such forms as may be prescribed, shall be filed with the Community Development Department prior to final building permit approval; and
(5)
Landscape plan check fee. Fees for review and processing of required documents, as set forth in the fee schedule adopted by the City.
(c)
Project or use with graywater or rainwater irrigation pursuant to Section 15-47.015(b)—Water budget or partial streamlined option.
(1)
For a project or use using treated or untreated graywater or rainwater captured on site, any parcel within the project that has less than or equal to two thousand five hundred square feet of landscape and meets the parcel's landscape water requirement (estimated water use) entirely with treated or untreated graywater or through stored rainwater captured on site is subject only to Appendix D Section (b)(5) of the State Model Water Efficient Landscape Ordinance, available at the Community Development Department.
(2)
For a project or use using treated or untreated graywater or rainwater captured on site, any parcel within the project that has more than two thousand five hundred square feet of landscape shall be subject to a water budget pursuant to Section 15-47.030 and shall submit for Community Development Department approval completed documents referenced in Section 15-47.020(b) demonstrating that the estimated total water use (ETWU) of the landscape area will not exceed the maximum applied water allowance (MAWA).
(d)
Other projects pursuant to Section 15-47.015(b)—Partial compliance.
(1)
Any new or rehabilitated cemetery shall be subject to a water budget pursuant to Section 15-47.030 and shall submit for Community Development Department approval completed documents referenced in Section 15-47.020(b) demonstrating that the estimated total water use (ETWU) of the landscape area will not exceed the maximum applied water allowance (MAWA).
(2)
Any existing landscape area larger than one acre, including a cemetery, shall comply with Section 15-47.070.
(Ord. No. 321, § 1, 11-19-2014; Ord. No. 339, § 1, 3-16-2016)
If the applicant complies with Article 15-47 by means of the "water budget" option, a water budget is required, which shall satisfy the following requirements:
(a)
The water budget must be completed by a certified professional who is authorized by the State of California to complete a water budget.
(b)
The maximum applied water allowance (MAWA) (gallons per year) shall be calculated using the equations set forth below:
Standard MAWA = (ETo)(0.62)[(ETAF × LA) + (1 - ETAF) × SLA)]
Where:
ETo = Reference Evapotranspiration (inches per year)
ETAF = ET Adjustment Factor (Section 15-47.030(e))
0.62 = Conversion Factor (acre-inches to gallons per year)
LA = Landscape Area including SLA (square feet)
SLA = Special Landscape Area (square feet)*
* Special Landscape Area (SLA) means an area of the landscape dedicated solely to edible plants, recreational areas, areas irrigated with recycled water, or water features using recycled water.
(c)
The estimated total water use (ETWU) (gallons) shall be calculated using the equations set forth below:
Where:
ETo = Reference Evapotranspiration (inches)
PF = Plant Factor from WUCOLS
HA = Hydrozone Area [high, medium, and low water use areas](square feet)
SLA = Special Landscape Area (square feet)
0.62 = Conversion Factor
IE = Irrigation Efficiency (minimum 0.75 for overhead spray devices and 0.81 for drip
systems)
* Hydrozone area means a portion of the landscaped area having plants with similar water needs and rooting depth. A hydrozone area may be irrigated or non-irrigated.
(d)
The sum of the ETWU calculated for all hydrozones shall not exceed the MAWA.
(e)
The reference evapotranspiration adjustment factor (ETAF) for new and existing (non-rehabilitated) special landscape areas shall not exceed 1.0. The ETAF for the remaining landscaped area shall not exceed 0.55 for residential areas and 0.45 for nonresidential areas.
(f)
The plant factor used shall be:
(1)
From the Water Use Classification of Landscape Species (WUCOLS), adopted by reference as published by the University of California Cooperative Extension, the Department of Water Resources and the Bureau of Reclamation and kept on file at the Community Development Department; or
(2)
From horticultural researchers with academic institutions or professional associations as approved by the California Department of Water Resources (DWR).
(g)
Each water feature shall be included in the high water use hydrozone.
(h)
Each special landscape area (SLA) shall be identified, and its water use included, in the water budget calculations.
(i)
Irrigation system efficiency shall be greater than or equal to seventy-five percent for overhead spray devices and eighty-one percent for drip system devices.
(j)
A project applicant may consider effective precipitation (twenty-five percent of annual precipitation) in tracking water use and may use the alternative MAWA equation set forth below:
Alternative MAWA for Residential Areas =
(ETo - Eppt)(0.62)[(0.55 × LA) + (0.45 × SLA)]
Alternate MAWA for Non-Residential Areas =
(ETo - Eppt)(0.62)(0.45 × LA) + (0.55 × SLA)
(Ord. No. 321, § 1, 11-19-2014; Ord. No. 339, § 1, 3-16-2016)
Editor's note— Ord. No. 339, § 1, adopted March 16, 2016, retitled the catchline of § 15-47.030 from "Water budget standards" to read as herein set out.
(a)
The landscape and irrigation plan shall be prepared by, and bear the signature of, a licensed landscape architect, licensed landscape contractor, or that of a certified or authorized professional who is authorized by the State of California to complete a water budget, and shall contain the following statement: "I have complied with the criteria of the City of Saratoga Water Efficient Landscape Ordinance currently in effect and applied them for the efficient use of water in the Landscape and Irrigation Plan."
(b)
The landscape and irrigation plan shall constitute an exhibit to, and contain all information required on, the water efficient landscape and irrigation plan checklist, developed by the Community Development Department, as necessary to demonstrate compliance with Article 15-47, and shall at a minimum:
(1)
Identify type and location of all irrigation systems, meters, automated controls, separate valves, hours of operation, and efficiency levels. Irrigation systems are required to have pressure regulators and master-shut off valves.
(2)
Identify type and location of all plant material, turf and non-turf areas, and mulching. Turf shall be less than twenty-five percent of the landscape area in residential areas and there shall be no turf in nonresidential areas.
(3)
Identify all hydrozones and special landscape areas including square footage of each separate hydrozone.
(4)
Identify all hardscapes and water features.
(5)
Identify all low impact development (LID) site design measures as required to comply with any and all stormwater management requirements established by law.
(6)
Identify all grading contours and quantities, as applicable. Turf shall not be planted on sloped areas which exceed a slope of one foot vertical elevation change for every four feet of horizontal length.
(7)
Identify all dedicated landscape water meters or submeters, which shall be required for all non-residential irrigated landscapes greater than one thousand square feet or and residential irrigated landscapes greater than five thousand square feet, except for those installations where irrigation water is provided by an individual on-site well. Flow sensors that detect and report high flow conditions due to broken pieces and/or popped sprinkler heads are required for landscape areas greater than five thousand square feet.
(8)
Irrigate with subsurface irrigation or other means that produce no runoff or overspray for all areas less than ten feet in width in any direction. Turf is prohibited in parkways less than ten feet wide unless the parkway is adjacent to a parking strip and used to enter and exit vehicles.
(9)
For established landscapes that have dedicated irrigation meters, the maximum applied water allowance (MAWA) shall be calculated as follows:
Audited MAWA = (ETo) (0.62) (LA) (0.8) where ETAF = 0.8
(10)
Identify any applicable graywater discharge piping system components and areas of distribution.
(Ord. No. 321, § 1, 11-19-2014; Ord. No. 339, § 1, 3-16-2016)
As to each project or use to which this Article 15-47 is applicable, each landscape area shall be maintained in compliance with the standards in Article 15-47 to ensure water use efficiency, including by inspection; adjustment and repair of the irrigation system and its components; aerating and dethatching turf areas; replenishing mulch; fertilizing; pruning; weeding in each landscape area; and removing obstructions to emission devices.
(Ord. No. 321, § 1, 11-19-2014; Ord. No. 339, § 1, 3-16-2016)
Stormwater best management practices shall be implemented into each project landscape and irrigation plan and each project grading design plan to minimize runoff and to increase on-site rainwater retention and infiltration and be consistent with any and all stormwater management requirements established by law.
(Ord. No. 321, § 1, 11-19-2014; Ord. No. 339, § 1, 3-16-2016)
Editor's note— Ord. No. 339, § 1, adopted March 16, 2016, retitled the catchline of § 15.47.060 from "Stormwater management" to read as herein set out.
Each property owner of a property containing landscape area(s) over one acre in size, that were installed prior to adoption of the ordinance codified in this Article, and do not otherwise meet the applicability criteria of Section 15-47.015, shall:
(a)
Cooperate with their water purveyors who may provide water waste prevention recommendations resulting from a landscape irrigation water use analysis, landscape irrigation audit, and/or landscape irrigation survey.
(b)
Maintain irrigation levels not exceeding the standard MAWA equation if the site has a water meter.
(Ord. No. 321, § 1, 11-19-2014; Ord. No. 339, § 1, 3-16-2016)
Any violation of this Article shall be subject to enforcement in accordance with the terms thereof and in addition to any other rights and remedies available to the City under Chapter 3 of this Code by reason of the same violation.
(Ord. No. 321, § 1, 11-19-2014)